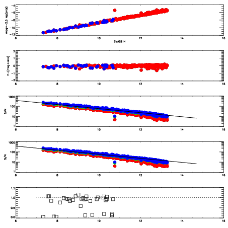
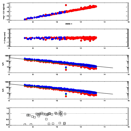
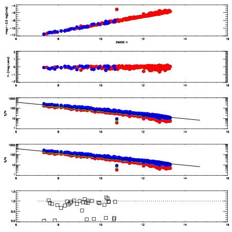
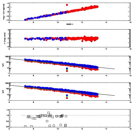
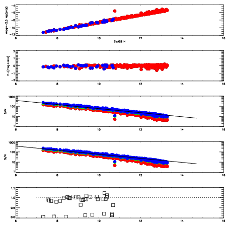
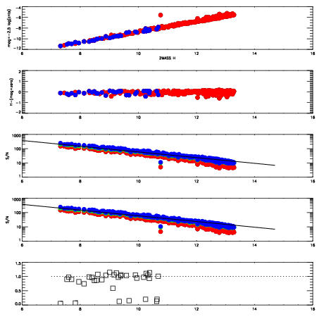
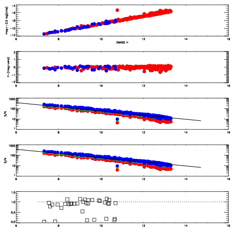
Frame | Nreads | Zeropoints | Mag plots
| Spatial mag deviation
| Spatial sky 16325A emission deviations (filled: sky, open: star)
| Spatial sky continuum emission
| Spatial sky telluric CO2 absorption deviations (filled: H < 10)
|
2870075
| 47
| | Red | Green | Blue
| z | | 19.00
| znorm | | 14.82
| sky | 14.7 | 14.7 | 14.8
| S/N | 14.4 | 23.9 | 24.4
| S/N(c) | 3.7 | 34.4 | 48.9
| SN(E/C) | 0.91
|
|
|
|
|
|
|
2870076
| 47
| | Red | Green | Blue
| z | | 18.95
| znorm | | 14.77
| sky | 14.8 | 14.7 | 15.0
| S/N | 13.8 | 23.1 | 23.9
| S/N(c) | 3.6 | 33.7 | 48.0
| SN(E/C) | 0.93
|
|
|
|
|
|
|
2870077
| 47
| | Red | Green | Blue
| z | | 18.95
| znorm | | 14.77
| sky | 15.1 | 14.8 | 15.0
| S/N | 14.1 | 23.2 | 24.4
| S/N(c) | 3.6 | 33.7 | 47.9
| SN(E/C) | 0.90
|
|
|
|
|
|
|
2870078
| 47
| | Red | Green | Blue
| z | | 18.77
| znorm | | 14.59
| sky | 14.8 | 14.8 | 15.2
| S/N | 12.0 | 20.8 | 22.1
| S/N(c) | 3.2 | 30.8 | 43.5
| SN(E/C) | 0.97
|
|
|
|
|
|
|
2870079
| 47
| | Red | Green | Blue
| z | | 18.77
| znorm | | 14.59
| sky | 15.0 | 14.9 | 15.1
| S/N | 11.9 | 20.8 | 22.1
| S/N(c) | 3.2 | 30.5 | 43.6
| SN(E/C) | 0.92
|
|
|
|
|
|
|
2870080
| 47
| | Red | Green | Blue
| z | | 18.69
| znorm | | 14.51
| sky | 15.1 | 14.9 | 15.0
| S/N | 11.5 | 19.7 | 21.2
| S/N(c) | 3.1 | 29.7 | 42.6
| SN(E/C) | 0.91
|
|
|
|
|
|
|
2870081
| 47
| | Red | Green | Blue
| z | | 18.90
| znorm | | 14.72
| sky | 14.9 | 15.0 | 14.9
| S/N | 13.2 | 22.4 | 23.8
| S/N(c) | 3.5 | 32.7 | 46.3
| SN(E/C) | 0.92
|
|
|
|
|
|
|
2870082
| 47
| | Red | Green | Blue
| z | | 18.92
| znorm | | 14.74
| sky | 14.8 | 14.8 | 15.1
| S/N | 13.2 | 22.7 | 23.7
| S/N(c) | 3.5 | 33.2 | 46.6
| SN(E/C) | 0.93
|
|
|
|
|
|
|