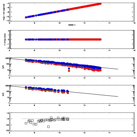
Left plots: red are targets, blue are telluric. Observed mags are calculated from median value of green chip. Zeropoint gives overall throughput: bigger number is more throughput.
First spatial plots: circles are objects, squares are tellurics, crosses are sky fibers. Colors give deviation of observed mag from expected 2MASS mag using the median zeropoint; red is brighter
Second spatial plots: circles are sky fibers. Colors give sky line brightness relative to plate median sky line brightness
FrameNreadsZeropointsMag plots Spatial mag deviation Spatial sky 16325A emission deviations (filled: sky, open: star) Spatial sky continuum emission Spatial sky telluric CO2 absorption deviations (filled: H < 10)
0 0
RedGreenBlue
z17.64
znorm Inf
sky -Inf -Inf -Inf
S/N 22.8 40.1 43.4
S/N(c) 0.0 0.0 0.0
SN(E/C) 0.89

IPAIRNAMESHIFTNEWSHIFTS/N NAMESHIFTNEWSHIFTS/N
0 02870081 0.410872 0.00000 18.8826 02870078 0.00117150 0.409701 18.7560
1 02870077 0.410591 0.000281006 18.9404 02870075 0.00000 0.410872 18.9912
2 02870076 0.408888 0.00198400 18.9391 02870082 -0.00137338 0.412245 18.9060
3 02870080 0.409869 0.00100303 18.6880 02870079 -0.000554040 0.411426 18.7540