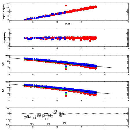
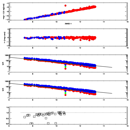
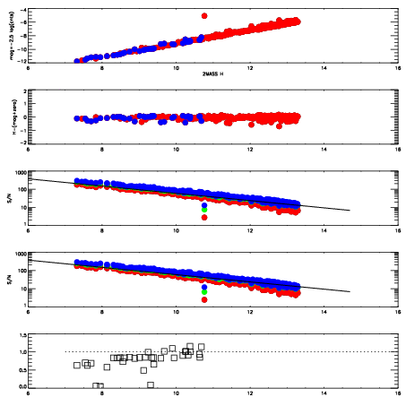
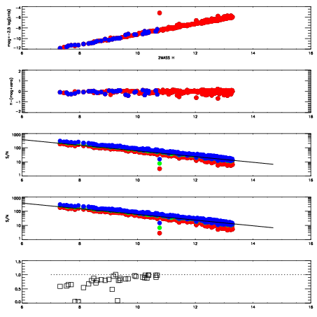
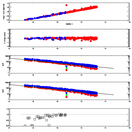
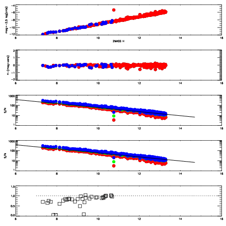
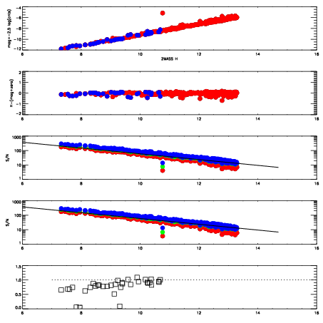
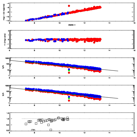
Frame | Nreads | Zeropoints | Mag plots
| Spatial mag deviation
| Spatial sky 16325A emission deviations (filled: sky, open: star)
| Spatial sky continuum emission
| Spatial sky telluric CO2 absorption deviations (filled: H < 10)
|
2910027
| 47
| | Red | Green | Blue
| z | | 19.20
| znorm | | 15.02
| sky | 15.2 | 14.8 | 15.3
| S/N | 18.0 | 28.5 | 29.6
| S/N(c) | 25.5 | 6.1 | 53.8
| SN(E/C) | 0.85
|
|
|
|
|
|
|
2910028
| 47
| | Red | Green | Blue
| z | | 19.19
| znorm | | 15.01
| sky | 15.0 | 14.6 | 15.4
| S/N | 18.0 | 28.5 | 29.1
| S/N(c) | 25.3 | 6.0 | 53.6
| SN(E/C) | 0.86
|
|
|
|
|
|
|
2910029
| 47
| | Red | Green | Blue
| z | | 19.24
| znorm | | 15.06
| sky | 15.0 | 14.8 | 15.5
| S/N | 17.9 | 29.3 | 29.4
| S/N(c) | 25.8 | 6.1 | 55.0
| SN(E/C) | 0.83
|
|
|
|
|
|
|
2910030
| 47
| | Red | Green | Blue
| z | | 19.22
| znorm | | 15.04
| sky | 15.1 | 14.9 | 15.3
| S/N | 17.6 | 28.8 | 29.0
| S/N(c) | 25.8 | 6.1 | 54.5
| SN(E/C) | 0.83
|
|
|
|
|
|
|
2910031
| 47
| | Red | Green | Blue
| z | | 19.23
| znorm | | 15.05
| sky | 15.3 | 15.1 | 15.4
| S/N | 17.6 | 28.4 | 29.6
| S/N(c) | 25.5 | 6.1 | 53.7
| SN(E/C) | 0.83
|
|
|
|
|
|
|
2910032
| 47
| | Red | Green | Blue
| z | | 19.21
| znorm | | 15.02
| sky | 15.2 | 15.2 | 15.4
| S/N | 16.9 | 27.9 | 29.1
| S/N(c) | 25.2 | 6.2 | 53.4
| SN(E/C) | 0.84
|
|
|
|
|
|
|
2910033
| 47
| | Red | Green | Blue
| z | | 19.20
| znorm | | 15.02
| sky | 14.8 | 15.0 | 15.3
| S/N | 16.7 | 27.5 | 28.9
| S/N(c) | 25.4 | 6.1 | 53.5
| SN(E/C) | 0.83
|
|
|
|
|
|
|
2910034
| 47
| | Red | Green | Blue
| z | | 19.20
| znorm | | 15.02
| sky | 15.0 | 15.1 | 15.3
| S/N | 16.5 | 27.5 | 28.6
| S/N(c) | 25.0 | 6.0 | 53.0
| SN(E/C) | 0.88
|
|
|
|
|
|
|