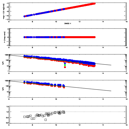
Left plots: red are targets, blue are telluric. Observed mags are calculated from median value of green chip. Zeropoint gives overall throughput: bigger number is more throughput.
First spatial plots: circles are objects, squares are tellurics, crosses are sky fibers. Colors give deviation of observed mag from expected 2MASS mag using the median zeropoint; red is brighter
Second spatial plots: circles are sky fibers. Colors give sky line brightness relative to plate median sky line brightness
FrameNreadsZeropointsMag plots Spatial mag deviation Spatial sky 16325A emission deviations (filled: sky, open: star) Spatial sky continuum emission Spatial sky telluric CO2 absorption deviations (filled: H < 10)
0 0
RedGreenBlue
z17.64
znorm Inf
sky -Inf -Inf -NaN
S/N 30.2 51.3 52.1
S/N(c) 0.0 0.0 0.0
SN(E/C) 0.75

IPAIRNAMESHIFTNEWSHIFTS/N NAMESHIFTNEWSHIFTS/N
0 02910033 0.401970 0.00000 19.1979 02910030 0.000607647 0.401362 19.2185
1 02910029 0.398072 0.00389799 19.2282 02910031 -0.000460471 0.402430 19.2208
2 02910028 0.397399 0.00457099 19.1956 02910027 0.00000 0.401970 19.1961
3 02910032 0.401171 0.000799000 19.1856 02910034 0.000376431 0.401594 19.1837