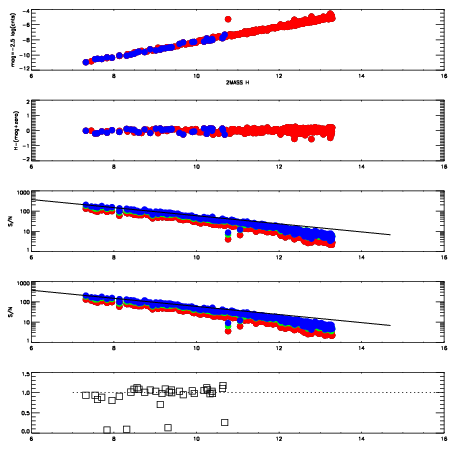
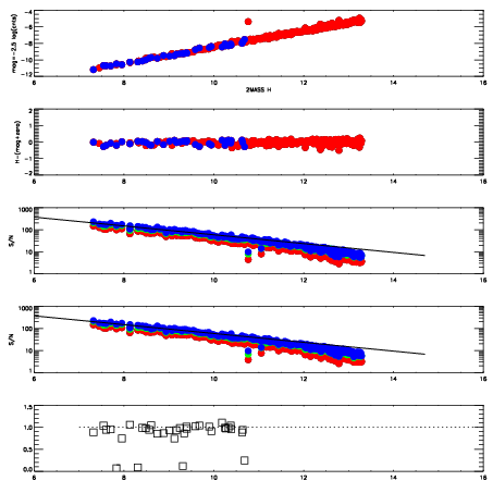
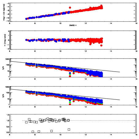
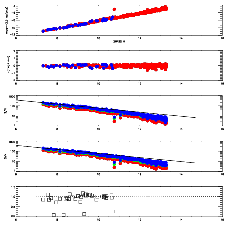
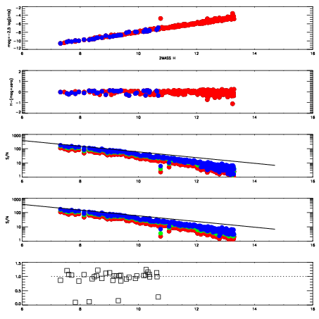
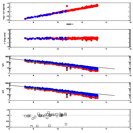
Frame | Nreads | Zeropoints | Mag plots
| Spatial mag deviation
| Spatial sky 16325A emission deviations (filled: sky, open: star)
| Spatial sky continuum emission
| Spatial sky telluric CO2 absorption deviations (filled: H < 10)
|
3140047
| 47
| | Red | Green | Blue
| z | | 18.35
| znorm | | 14.17
| sky | 13.4 | 13.2 | 13.1
| S/N | 9.2 | 15.5 | 16.1
| S/N(c) | 12.9 | 14.3 | 35.6
| SN(E/C) | 0.98
|
|
|
|
|
|
|
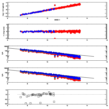
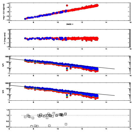
3140048
| 47
| | Red | Green | Blue
| z | | 18.56
| znorm | | 14.37
| sky | 13.5 | 13.4 | 13.4
| S/N | 10.6 | 17.7 | 18.3
| S/N(c) | 14.5 | 15.9 | 40.4
| SN(E/C) | 0.94
|
|
|
|
|
|
|
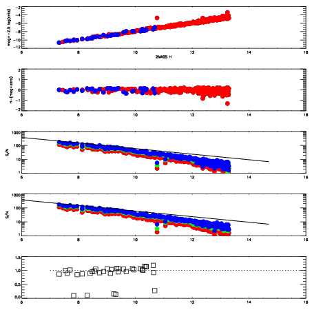
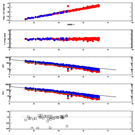
3140049
| 47
| | Red | Green | Blue
| z | | 18.48
| znorm | | 14.30
| sky | 13.4 | 13.3 | 13.3
| S/N | 10.1 | 16.5 | 17.5
| S/N(c) | 13.8 | 15.0 | 38.6
| SN(E/C) | 0.96
|
|
|
|
|
|
|
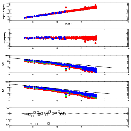
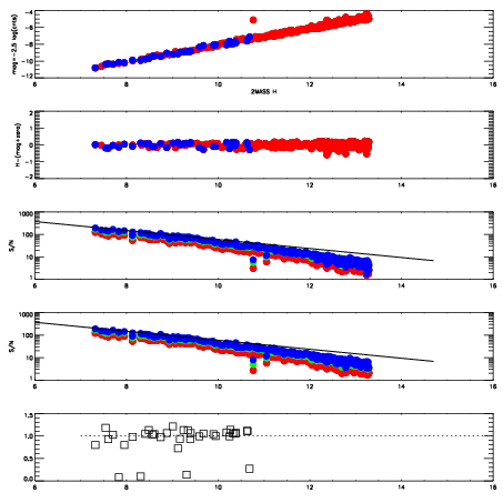
3140050
| 47
| | Red | Green | Blue
| z | | 18.51
| znorm | | 14.33
| sky | 13.1 | 13.1 | 13.1
| S/N | 9.4 | 16.0 | 16.9
| S/N(c) | 13.7 | 15.1 | 38.3
| SN(E/C) | 0.95
|
|
|
|
|
|
|
3140051
| 47
| | Red | Green | Blue
| z | | 18.53
| znorm | | 14.35
| sky | 13.2 | 13.1 | 13.1
| S/N | 10.0 | 16.4 | 17.3
| S/N(c) | 13.9 | 15.2 | 38.9
| SN(E/C) | 0.97
|
|
|
|
|
|
|
3140052
| 47
| | Red | Green | Blue
| z | | 18.28
| znorm | | 14.10
| sky | 13.0 | 12.9 | 12.9
| S/N | 8.2 | 13.3 | 14.7
| S/N(c) | 11.8 | 13.0 | 33.4
| SN(E/C) | 1.01
|
|
|
|
|
|
|
3140053
| 47
| | Red | Green | Blue
| z | | 18.11
| znorm | | 13.93
| sky | 12.7 | 12.6 | 12.6
| S/N | 6.8 | 11.2 | 12.4
| S/N(c) | 10.4 | 11.7 | 29.8
| SN(E/C) | 1.04
|
|
|
|
|
|
|
3140054
| 47
| | Red | Green | Blue
| z | | 17.87
| znorm | | 13.68
| sky | 12.4 | 12.4 | 12.3
| S/N | 5.2 | 8.7 | 9.9
| S/N(c) | 8.3 | 9.5 | 24.8
| SN(E/C) | 0.97
|
|
|
|
|
|
|
3140055
| 47
| | Red | Green | Blue
| z | | 17.84
| znorm | | 13.66
| sky | 12.4 | 12.3 | 12.3
| S/N | 5.1 | 8.3 | 9.7
| S/N(c) | 8.2 | 9.4 | 24.2
| SN(E/C) | 1.00
|
|
|
|
|
|
|
3140056
| 47
| | Red | Green | Blue
| z | | 17.95
| znorm | | 13.77
| sky | 12.4 | 12.3 | 12.3
| S/N | 5.4 | 9.1 | 10.8
| S/N(c) | 8.9 | 10.1 | 26.2
| SN(E/C) | 0.98
|
|
|
|
|
|
|
3140057
| 47
| | Red | Green | Blue
| z | | 18.25
| znorm | | 14.07
| sky | 12.7 | 12.6 | 12.6
| S/N | 7.1 | 11.8 | 13.5
| S/N(c) | 11.1 | 12.3 | 31.6
| SN(E/C) | 0.96
|
|
|
|
|
|
|
3140058
| 47
| | Red | Green | Blue
| z | | 17.93
| znorm | | 13.75
| sky | 12.5 | 12.4 | 12.4
| S/N | 5.2 | 8.6 | 10.6
| S/N(c) | 8.7 | 9.9 | 25.4
| SN(E/C) | 1.02
|
|
|
|
|
|
|