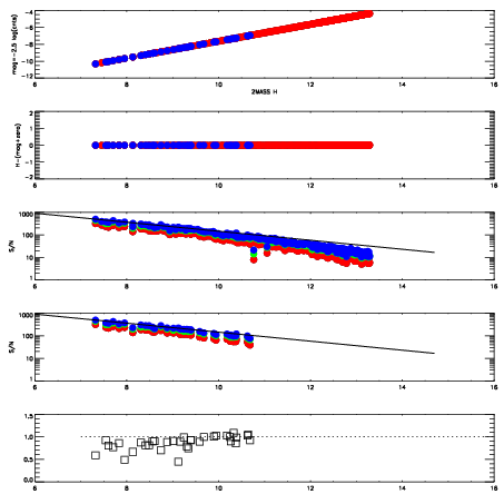
Left plots: red are targets, blue are telluric. Observed mags are calculated from median value of green chip. Zeropoint gives overall throughput: bigger number is more throughput.
First spatial plots: circles are objects, squares are tellurics, crosses are sky fibers. Colors give deviation of observed mag from expected 2MASS mag using the median zeropoint; red is brighter
Second spatial plots: circles are sky fibers. Colors give sky line brightness relative to plate median sky line brightness
FrameNreadsZeropointsMag plots Spatial mag deviation Spatial sky 16325A emission deviations (filled: sky, open: star) Spatial sky continuum emission Spatial sky telluric CO2 absorption deviations (filled: H < 10)
0 0
RedGreenBlue
z17.64
znorm Inf
sky -Inf -Inf -Inf
S/N 17.2 29.7 34.4
S/N(c) 0.0 0.0 0.0
SN(E/C) 0.90

IPAIRNAMESHIFTNEWSHIFTS/N NAMESHIFTNEWSHIFTS/N
0 03140049 0.504366 0.00000 18.4850 03140050 -7.14884e-05 0.504437 18.5028
1 03140048 0.501993 0.00237298 18.5583 03140051 -0.00205256 0.506419 18.5295
2 03140052 0.497926 0.00643998 18.3043 03140047 0.00000 0.504366 18.3650
3 03140057 0.500405 0.00396097 18.2566 03140058 -0.00453702 0.508903 17.9388
4 03140053 0.498954 0.00541198 18.1386 03140054 -0.00257360 0.506940 17.8739
5 03140056 0.498925 0.00544098 17.9698 03140055 -0.00455485 0.508921 17.8527