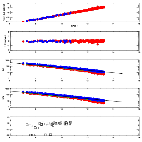
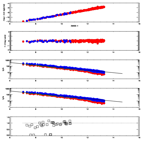
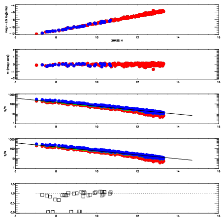
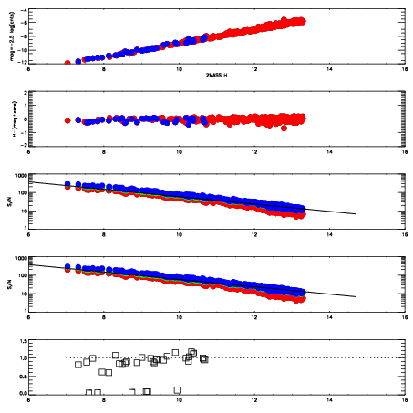
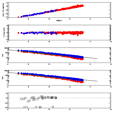
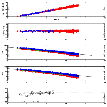
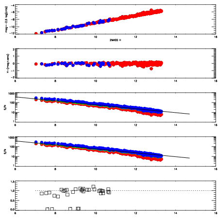
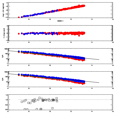
Frame | Nreads | Zeropoints | Mag plots
| Spatial mag deviation
| Spatial sky 16325A emission deviations (filled: sky, open: star)
| Spatial sky continuum emission
| Spatial sky telluric CO2 absorption deviations (filled: H < 10)
|
2900036
| 47
| | Red | Green | Blue
| z | | 18.92
| znorm | | 14.74
| sky | 15.2 | 14.6 | 15.1
| S/N | 14.3 | 24.4 | 26.0
| S/N(c) | 32.9 | 22.1 | 17.0
| SN(E/C) | 0.91
|
|
|
|
|
|
|
2900037
| 47
| | Red | Green | Blue
| z | | 18.98
| znorm | | 14.80
| sky | 14.9 | 14.8 | 15.1
| S/N | 14.3 | 24.4 | 26.2
| S/N(c) | 34.0 | 22.6 | 17.4
| SN(E/C) | 0.93
|
|
|
|
|
|
|
2900038
| 47
| | Red | Green | Blue
| z | | 19.02
| znorm | | 14.84
| sky | 15.1 | 14.8 | 15.1
| S/N | 15.0 | 24.8 | 26.7
| S/N(c) | 35.1 | 23.3 | 17.7
| SN(E/C) | 0.93
|
|
|
|
|
|
|
2900039
| 47
| | Red | Green | Blue
| z | | 19.05
| znorm | | 14.87
| sky | 15.1 | 14.8 | 15.0
| S/N | 15.3 | 25.1 | 27.0
| S/N(c) | 35.5 | 23.5 | 18.0
| SN(E/C) | 0.98
|
|
|
|
|
|
|
2900040
| 47
| | Red | Green | Blue
| z | | 19.03
| znorm | | 14.85
| sky | 14.7 | 14.9 | 15.0
| S/N | 14.8 | 24.5 | 26.6
| S/N(c) | 34.9 | 23.4 | 17.8
| SN(E/C) | 0.92
|
|
|
|
|
|
|
2900041
| 47
| | Red | Green | Blue
| z | | 19.06
| znorm | | 14.88
| sky | 15.1 | 15.1 | 15.0
| S/N | 15.2 | 25.3 | 27.0
| S/N(c) | 35.6 | 23.7 | 18.2
| SN(E/C) | 0.91
|
|
|
|
|
|
|
2900042
| 47
| | Red | Green | Blue
| z | | 19.02
| znorm | | 14.84
| sky | 15.1 | 15.0 | 14.9
| S/N | 14.5 | 24.3 | 26.4
| S/N(c) | 34.8 | 23.2 | 17.9
| SN(E/C) | 1.00
|
|
|
|
|
|
|
2900043
| 47
| | Red | Green | Blue
| z | | 19.00
| znorm | | 14.82
| sky | 14.7 | 15.2 | 15.0
| S/N | 14.5 | 24.5 | 26.3
| S/N(c) | 34.5 | 23.3 | 17.9
| SN(E/C) | 0.98
|
|
|
|
|
|
|