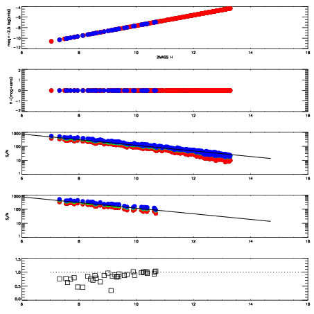
Left plots: red are targets, blue are telluric. Observed mags are calculated from median value of green chip. Zeropoint gives overall throughput: bigger number is more throughput.
First spatial plots: circles are objects, squares are tellurics, crosses are sky fibers. Colors give deviation of observed mag from expected 2MASS mag using the median zeropoint; red is brighter
Second spatial plots: circles are sky fibers. Colors give sky line brightness relative to plate median sky line brightness
FrameNreadsZeropointsMag plots Spatial mag deviation Spatial sky 16325A emission deviations (filled: sky, open: star) Spatial sky continuum emission Spatial sky telluric CO2 absorption deviations (filled: H < 10)
0 0
RedGreenBlue
z17.64
znorm Inf
sky -Inf -NaN -Inf
S/N 24.6 43.4 47.7
S/N(c) 0.0 0.0 0.0
SN(E/C) 0.88

IPAIRNAMESHIFTNEWSHIFTS/N NAMESHIFTNEWSHIFTS/N
0 02900042 0.401306 0.00000 19.0078 02900043 0.00122469 0.400081 18.9929
1 02900041 0.399914 0.00139201 19.0519 02900039 0.000472400 0.400834 19.0423
2 02900038 0.401023 0.000283003 19.0168 02900040 0.00119702 0.400109 19.0189
3 02900037 0.398110 0.00319600 18.9739 02900036 0.00000 0.401306 18.9160