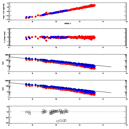
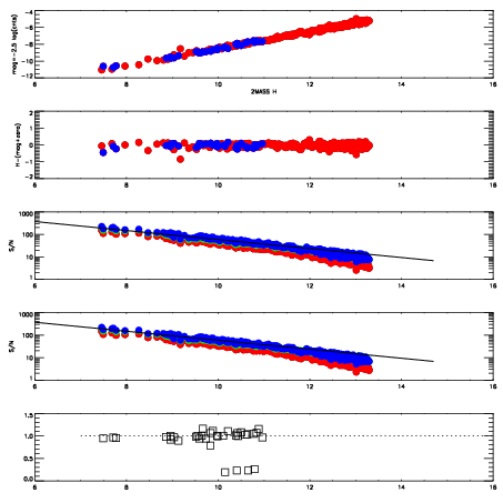
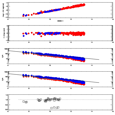
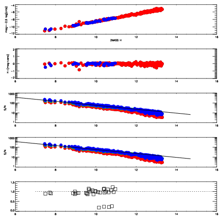
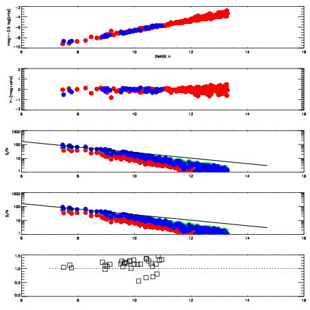
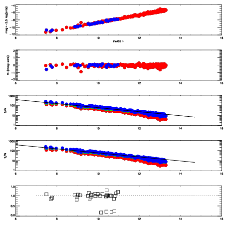
Left plots: red are targets, blue are telluric. Observed mags are calculated from median value of green chip. Zeropoint gives overall throughput: bigger number is more throughput.
First spatial plots: circles are objects, squares are tellurics, crosses are sky fibers. Colors give deviation of observed mag from expected 2MASS mag using the median zeropoint; red is brighter
Second spatial plots: circles are sky fibers. Colors give sky line brightness relative to plate median sky line brightness
FrameNreadsZeropointsMag plots Spatial mag deviation Spatial sky 16325A emission deviations (filled: sky, open: star) Spatial sky continuum emission Spatial sky telluric CO2 absorption deviations (filled: H < 10)
3110029 47
RedGreenBlue
z18.61
znorm14.43
sky 15.0 14.5 14.5
S/N 12.1 20.9 21.5
S/N(c) 11.1 22.3 16.7
SN(E/C) 0.95
3110030 47
RedGreenBlue
z18.59
znorm14.41
sky 14.9 14.6 14.9
S/N 12.0 20.7 21.3
S/N(c) 10.7 21.9 16.4
SN(E/C) 0.96
3110031 47
RedGreenBlue
z18.57
znorm14.39
sky 14.8 14.8 14.9
S/N 11.7 20.1 21.1
S/N(c) 10.5 21.7 16.4
SN(E/C) 0.98
3110032 47
RedGreenBlue
z18.56
znorm14.38
sky 15.1 14.8 15.0
S/N 11.8 20.2 21.2
S/N(c) 10.4 21.7 16.3
SN(E/C) 1.00
3110033 47
RedGreenBlue
z18.75
znorm14.57
sky 15.3 14.9 15.1
S/N 12.9 22.5 23.7
S/N(c) 11.6 24.0 18.2
SN(E/C) 1.00
3110034 47
RedGreenBlue
z16.69
znorm12.51
sky 16.1 17.2 17.0
S/N 1.2 4.1 3.5
S/N(c) 1.6 6.0 3.7
SN(E/C) 1.16