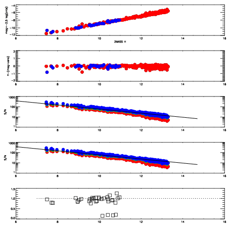
Frame | Nreads | Zeropoints | Mag plots
| Spatial mag deviation
| Spatial sky 16325A emission deviations (filled: sky, open: star)
| Spatial sky continuum emission
| Spatial sky telluric CO2 absorption deviations (filled: H < 10)
|
3120062
| 47
| | Red | Green | Blue
| z | | 18.96
| znorm | | 14.78
| sky | 15.0 | 14.6 | 14.6
| S/N | 15.1 | 24.6 | 26.5
| S/N(c) | 13.0 | 26.8 | 20.0
| SN(E/C) | 0.95
|
|
|
|
|
|
|
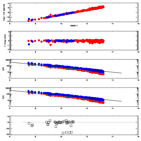
3120063
| 47
| | Red | Green | Blue
| z | | 18.98
| znorm | | 14.80
| sky | 14.9 | 14.6 | 14.9
| S/N | 15.4 | 24.9 | 27.8
| S/N(c) | 13.3 | 27.1 | 20.7
| SN(E/C) | 0.95
|
|
|
|
|
|
|
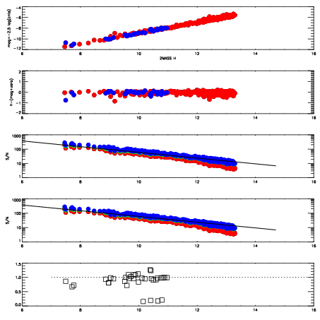
3120064
| 47
| | Red | Green | Blue
| z | | 19.04
| znorm | | 14.86
| sky | 15.1 | 14.8 | 15.1
| S/N | 15.5 | 25.8 | 28.5
| S/N(c) | 13.8 | 27.7 | 21.5
| SN(E/C) | 0.96
|
|
|
|
|
|
|
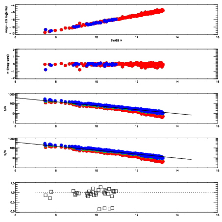
3120065
| 47
| | Red | Green | Blue
| z | | 19.06
| znorm | | 14.88
| sky | 14.9 | 14.9 | 14.9
| S/N | 16.1 | 26.4 | 28.8
| S/N(c) | 13.8 | 28.3 | 21.7
| SN(E/C) | 0.97
|
|
|
|
|
|
|
3120066
| 47
| | Red | Green | Blue
| z | | 19.03
| znorm | | 14.85
| sky | 15.1 | 14.9 | 15.1
| S/N | 15.6 | 26.2 | 28.4
| S/N(c) | 14.0 | 27.6 | 21.5
| SN(E/C) | 0.94
|
|
|
|
|
|
|
3120067
| 47
| | Red | Green | Blue
| z | | 18.94
| znorm | | 14.76
| sky | 14.7 | 14.8 | 14.9
| S/N | 14.7 | 24.7 | 26.9
| S/N(c) | 13.3 | 26.3 | 20.4
| SN(E/C) | 0.98
|
|
|
|
|
|
|
3120068
| 47
| | Red | Green | Blue
| z | | 18.96
| znorm | | 14.78
| sky | 15.1 | 14.9 | 15.1
| S/N | 15.0 | 25.0 | 27.2
| S/N(c) | 13.2 | 26.7 | 20.8
| SN(E/C) | 0.95
|
|
|
|
|
|
|
3120069
| 47
| | Red | Green | Blue
| z | | 18.98
| znorm | | 14.80
| sky | 15.0 | 14.9 | 15.0
| S/N | 15.3 | 25.6 | 27.8
| S/N(c) | 13.5 | 27.1 | 20.9
| SN(E/C) | 0.94
|
|
|
|
|
|
|