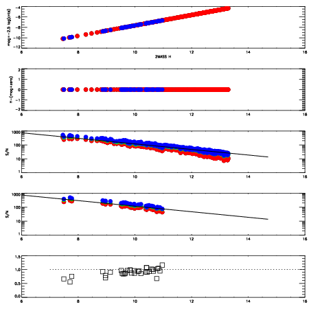
Left plots: red are targets, blue are telluric. Observed mags are calculated from median value of green chip. Zeropoint gives overall throughput: bigger number is more throughput.
First spatial plots: circles are objects, squares are tellurics, crosses are sky fibers. Colors give deviation of observed mag from expected 2MASS mag using the median zeropoint; red is brighter
Second spatial plots: circles are sky fibers. Colors give sky line brightness relative to plate median sky line brightness
FrameNreadsZeropointsMag plots Spatial mag deviation Spatial sky 16325A emission deviations (filled: sky, open: star) Spatial sky continuum emission Spatial sky telluric CO2 absorption deviations (filled: H < 10)
0 0
RedGreenBlue
z17.64
znorm Inf
sky -NaN -NaN -Inf
S/N 27.4 46.4 51.3
S/N(c) 0.0 0.0 0.0
SN(E/C) 0.92

IPAIRNAMESHIFTNEWSHIFTS/N NAMESHIFTNEWSHIFTS/N
0 03440048 0.505372 0.00000 19.0252 03440050 0.00142226 0.503950 19.0746
1 03440047 0.503552 0.00181997 19.0844 03440046 0.00000 0.505372 19.1121
2 03440051 0.503683 0.00168902 19.0010 03440049 0.00174466 0.503627 19.0484
3 03440052 0.504434 0.000937998 18.9607 03440053 0.00199393 0.503378 19.0108