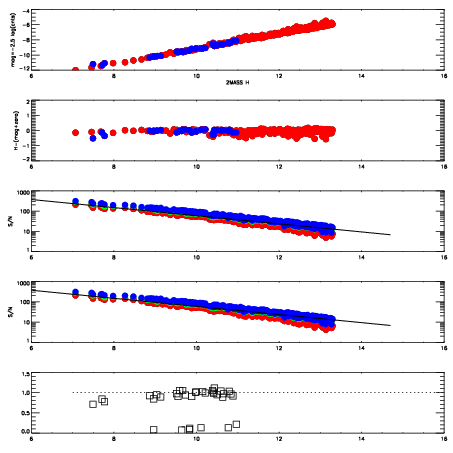
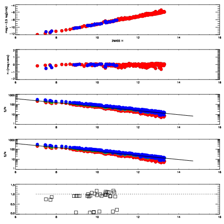
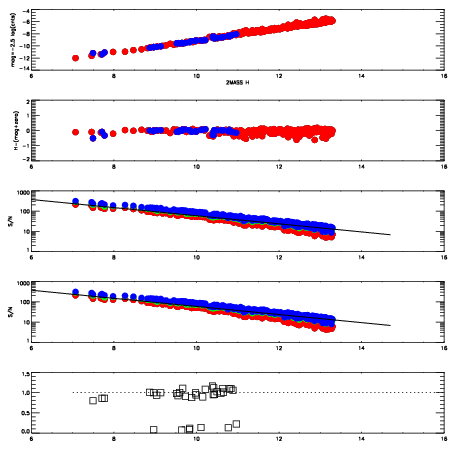
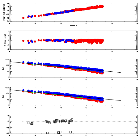
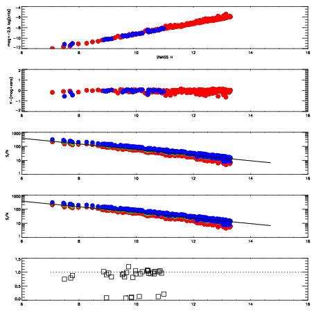
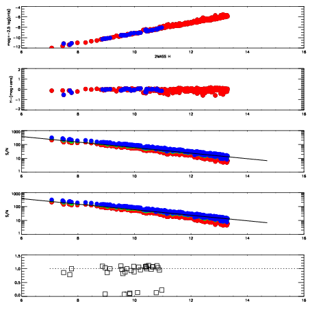
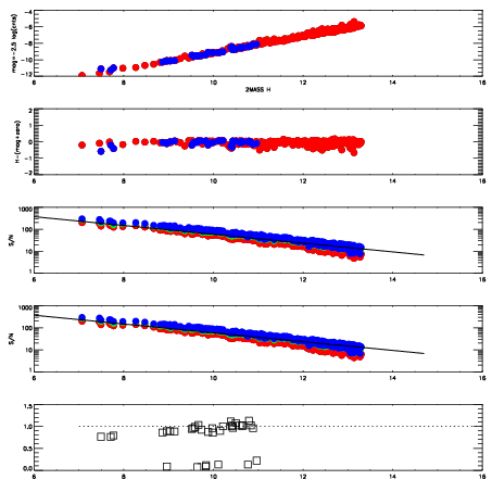
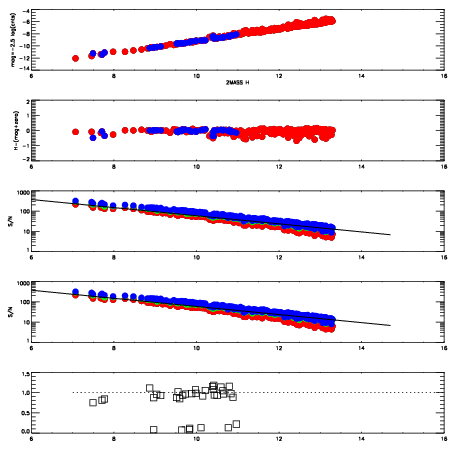
Frame | Nreads | Zeropoints | Mag plots
| Spatial mag deviation
| Spatial sky 16325A emission deviations (filled: sky, open: star)
| Spatial sky continuum emission
| Spatial sky telluric CO2 absorption deviations (filled: H < 10)
|
2930023
| 47
| | Red | Green | Blue
| z | | 19.18
| znorm | | 15.00
| sky | 14.9 | 14.8 | 15.1
| S/N | 17.4 | 27.7 | 29.0
| S/N(c) | 9.2 | 21.7 | 46.6
| SN(E/C) | 0.92
|
|
|
|
|
|
|
2930024
| 47
| | Red | Green | Blue
| z | | 19.22
| znorm | | 15.04
| sky | 15.2 | 14.8 | 15.1
| S/N | 17.8 | 28.5 | 30.2
| S/N(c) | 9.4 | 22.3 | 47.4
| SN(E/C) | 0.94
|
|
|
|
|
|
|
2930025
| 47
| | Red | Green | Blue
| z | | 19.21
| znorm | | 15.03
| sky | 14.9 | 14.8 | 15.0
| S/N | 17.8 | 28.4 | 29.9
| S/N(c) | 9.3 | 22.1 | 47.4
| SN(E/C) | 0.91
|
|
|
|
|
|
|
2930026
| 47
| | Red | Green | Blue
| z | | 19.21
| znorm | | 15.03
| sky | 15.1 | 14.9 | 15.2
| S/N | 17.7 | 28.6 | 30.4
| S/N(c) | 9.5 | 22.2 | 47.3
| SN(E/C) | 0.94
|
|
|
|
|
|
|
2930027
| 47
| | Red | Green | Blue
| z | | 19.17
| znorm | | 14.99
| sky | 14.9 | 14.8 | 15.1
| S/N | 17.1 | 27.8 | 29.3
| S/N(c) | 9.3 | 21.9 | 46.8
| SN(E/C) | 0.98
|
|
|
|
|
|
|
2930028
| 47
| | Red | Green | Blue
| z | | 19.18
| znorm | | 15.00
| sky | 14.9 | 14.8 | 15.0
| S/N | 17.4 | 27.8 | 29.9
| S/N(c) | 9.3 | 22.0 | 46.9
| SN(E/C) | 0.95
|
|
|
|
|
|
|
2930029
| 47
| | Red | Green | Blue
| z | | 19.18
| znorm | | 15.00
| sky | 14.8 | 14.8 | 15.0
| S/N | 17.2 | 27.8 | 29.5
| S/N(c) | 9.3 | 21.8 | 46.7
| SN(E/C) | 0.96
|
|
|
|
|
|
|
2930030
| 47
| | Red | Green | Blue
| z | | 19.21
| znorm | | 15.03
| sky | 14.9 | 14.8 | 15.0
| S/N | 17.5 | 28.0 | 30.0
| S/N(c) | 9.2 | 22.3 | 47.6
| SN(E/C) | 0.93
|
|
|
|
|
|
|