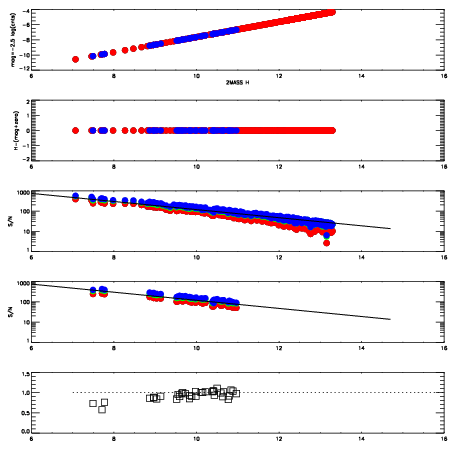
Left plots: red are targets, blue are telluric. Observed mags are calculated from median value of green chip. Zeropoint gives overall throughput: bigger number is more throughput.
First spatial plots: circles are objects, squares are tellurics, crosses are sky fibers. Colors give deviation of observed mag from expected 2MASS mag using the median zeropoint; red is brighter
Second spatial plots: circles are sky fibers. Colors give sky line brightness relative to plate median sky line brightness
FrameNreadsZeropointsMag plots Spatial mag deviation Spatial sky 16325A emission deviations (filled: sky, open: star) Spatial sky continuum emission Spatial sky telluric CO2 absorption deviations (filled: H < 10)
0 0
RedGreenBlue
z17.64
znorm Inf
sky -NaN -NaN -Inf
S/N 27.7 47.2 50.2
S/N(c) 0.0 0.0 0.0
SN(E/C) 0.93

IPAIRNAMESHIFTNEWSHIFTS/N NAMESHIFTNEWSHIFTS/N
0 03690036 0.494257 0.00000 18.9441 03690037 -0.00140287 0.495660 18.9740
1 03690039 0.492831 0.00142601 19.0471 03690038 -0.00221250 0.496469 19.0735
2 03690040 0.493898 0.000358999 18.9905 03690041 -0.00161278 0.495870 19.0345
3 03690035 0.492729 0.00152799 18.8882 03690034 0.00000 0.494257 18.7733