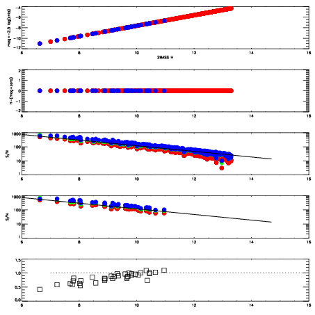
Left plots: red are targets, blue are telluric. Observed mags are calculated from median value of green chip. Zeropoint gives overall throughput: bigger number is more throughput.
First spatial plots: circles are objects, squares are tellurics, crosses are sky fibers. Colors give deviation of observed mag from expected 2MASS mag using the median zeropoint; red is brighter
Second spatial plots: circles are sky fibers. Colors give sky line brightness relative to plate median sky line brightness
FrameNreadsZeropointsMag plots Spatial mag deviation Spatial sky 16325A emission deviations (filled: sky, open: star) Spatial sky continuum emission Spatial sky telluric CO2 absorption deviations (filled: H < 10)
0 0
RedGreenBlue
z17.64
znorm Inf
sky -NaN -NaN -Inf
S/N 29.7 49.0 52.2
S/N(c) 0.0 0.0 0.0
SN(E/C) 0.85

IPAIRNAMESHIFTNEWSHIFTS/N NAMESHIFTNEWSHIFTS/N
0 03200049 0.511669 0.00000 19.1085 03200050 0.00160984 0.510059 19.1682
1 03200052 0.508414 0.00325501 19.1943 03200054 0.00458884 0.507080 19.1943
2 03200053 0.509101 0.00256801 19.1826 03200051 0.00208793 0.509581 19.1795
3 03200048 0.501559 0.0101100 19.0707 03200047 0.00000 0.511669 19.0374