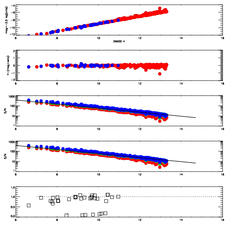
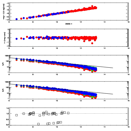
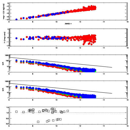
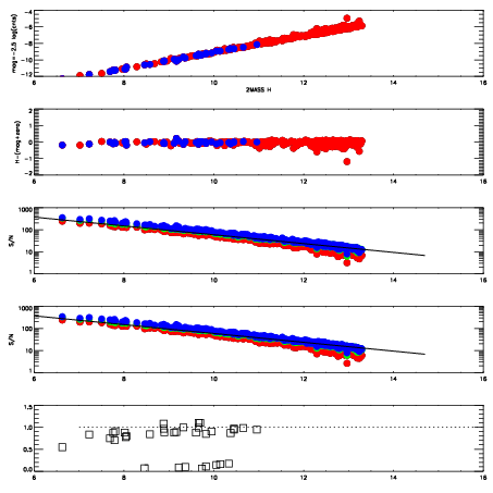
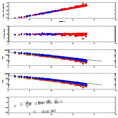
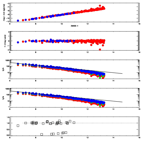
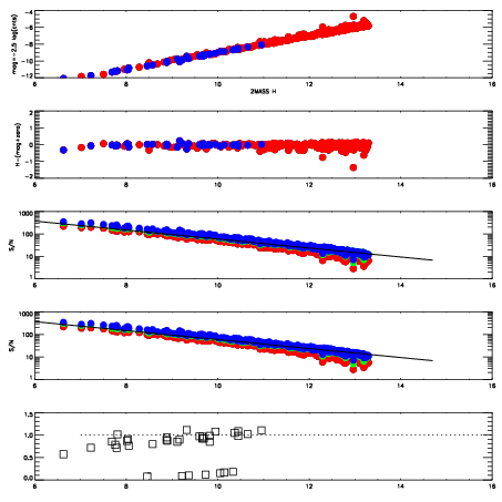
Frame | Nreads | Zeropoints | Mag plots
| Spatial mag deviation
| Spatial sky 16325A emission deviations (filled: sky, open: star)
| Spatial sky continuum emission
| Spatial sky telluric CO2 absorption deviations (filled: H < 10)
|
4030012
| 47
| | Red | Green | Blue
| z | | 18.21
| znorm | | 14.03
| sky | 13.5 | 13.4 | 13.3
| S/N | 8.7 | 14.9 | 14.4
| S/N(c) | 20.9 | 6.5 | 14.8
| SN(E/C) | 0.99
|
|
|
|
|
|
|
4030013
| 47
| | Red | Green | Blue
| z | | 18.20
| znorm | | 14.01
| sky | 13.4 | 13.3 | 13.2
| S/N | 8.5 | 14.5 | 14.0
| S/N(c) | 20.6 | 6.4 | 15.1
| SN(E/C) | 0.99
|
|
|
|
|
|
|
4030014
| 47
| | Red | Green | Blue
| z | | 16.45
| znorm | | 12.27
| sky | 12.7 | 12.6 | 12.6
| S/N | 1.5 | 3.1 | 3.2
| S/N(c) | 4.3 | 1.7 | 4.2
| SN(E/C) | 1.11
|
|
|
|
|
|
|
4030015
| 47
| | Red | Green | Blue
| z | | 19.03
| znorm | | 14.85
| sky | 14.8 | 14.5 | 14.5
| S/N | 15.8 | 25.6 | 26.2
| S/N(c) | 33.9 | 10.0 | 23.1
| SN(E/C) | 0.87
|
|
|
|
|
|
|
4030016
| 47
| | Red | Green | Blue
| z | | 19.01
| znorm | | 14.83
| sky | 14.8 | 14.6 | 14.5
| S/N | 15.4 | 25.3 | 26.1
| S/N(c) | 33.1 | 9.9 | 23.0
| SN(E/C) | 0.91
|
|
|
|
|
|
|
4030017
| 47
| | Red | Green | Blue
| z | | 19.11
| znorm | | 14.93
| sky | 14.5 | 14.5 | 14.5
| S/N | 16.5 | 26.1 | 27.5
| S/N(c) | 34.4 | 10.3 | 24.3
| SN(E/C) | 0.87
|
|
|
|
|
|
|
4030018
| 47
| | Red | Green | Blue
| z | | 18.79
| znorm | | 14.61
| sky | 13.9 | 13.8 | 13.8
| S/N | 12.9 | 20.9 | 21.3
| S/N(c) | 28.1 | 8.6 | 20.4
| SN(E/C) | 0.93
|
|
|
|
|
|
|
4030019
| 47
| | Red | Green | Blue
| z | | 19.09
| znorm | | 14.91
| sky | 14.7 | 14.5 | 14.5
| S/N | 15.9 | 26.0 | 26.6
| S/N(c) | 33.9 | 10.3 | 24.3
| SN(E/C) | 0.86
|
|
|
|
|
|
|