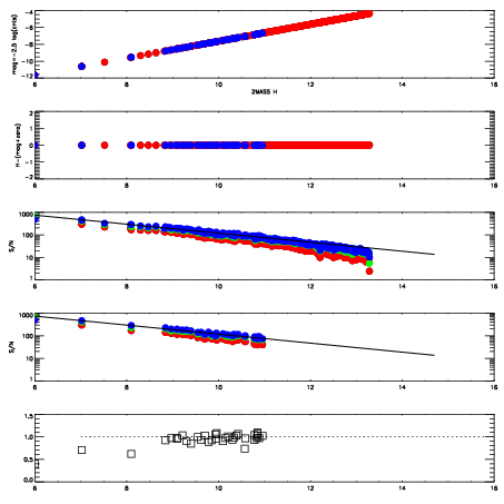
Left plots: red are targets, blue are telluric. Observed mags are calculated from median value of green chip. Zeropoint gives overall throughput: bigger number is more throughput.
First spatial plots: circles are objects, squares are tellurics, crosses are sky fibers. Colors give deviation of observed mag from expected 2MASS mag using the median zeropoint; red is brighter
Second spatial plots: circles are sky fibers. Colors give sky line brightness relative to plate median sky line brightness
FrameNreadsZeropointsMag plots Spatial mag deviation Spatial sky 16325A emission deviations (filled: sky, open: star) Spatial sky continuum emission Spatial sky telluric CO2 absorption deviations (filled: H < 10)
0 0
RedGreenBlue
z17.64
znorm Inf
sky -NaN -NaN -Inf
S/N 20.6 37.6 39.4
S/N(c) 0.0 0.0 0.0
SN(E/C) 0.97

IPAIRNAMESHIFTNEWSHIFTS/N NAMESHIFTNEWSHIFTS/N
0 04050016 0.502335 0.00000 18.3130 04050017 0.00207092 0.500264 18.5116
1 04050012 0.501788 0.000546992 18.7395 04050013 0.00125950 0.501076 18.7025
2 04050011 0.499998 0.00233701 18.5925 04050010 0.00000 0.502335 18.6025
3 04050015 0.500216 0.00211900 18.4824 04050014 0.000507474 0.501828 18.5485