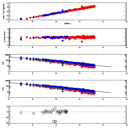
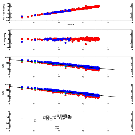
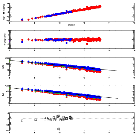
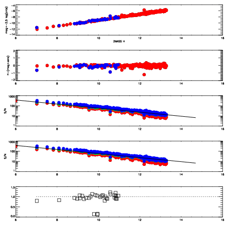
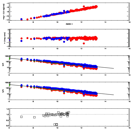
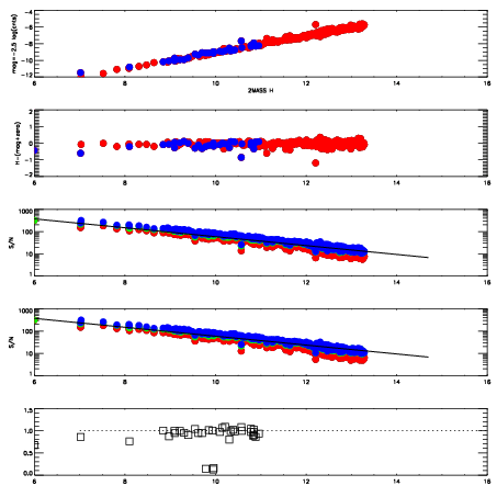
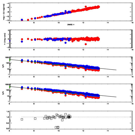
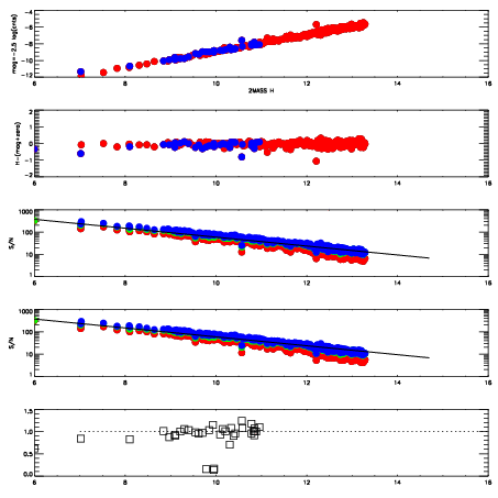
Frame | Nreads | Zeropoints | Mag plots
| Spatial mag deviation
| Spatial sky 16325A emission deviations (filled: sky, open: star)
| Spatial sky continuum emission
| Spatial sky telluric CO2 absorption deviations (filled: H < 10)
|
6430069
| 47
| | Red | Green | Blue
| z | | 19.16
| znorm | | 14.98
| sky | 14.6 | 14.5 | 14.5
| S/N | 15.8 | 24.6 | 25.5
| S/N(c) | 23.5 | 15.0 | 41.2
| SN(E/C) | 0.98
|
|
|
|
|
|
|
6430070
| 47
| | Red | Green | Blue
| z | | 19.15
| znorm | | 14.97
| sky | 14.7 | 14.4 | 14.6
| S/N | 15.7 | 24.3 | 26.0
| S/N(c) | 23.1 | 14.8 | 40.7
| SN(E/C) | 0.95
|
|
|
|
|
|
|
6430071
| 47
| | Red | Green | Blue
| z | | 19.09
| znorm | | 14.91
| sky | 14.6 | 14.5 | 14.8
| S/N | 15.0 | 23.7 | 24.8
| S/N(c) | 22.1 | 14.5 | 39.7
| SN(E/C) | 0.97
|
|
|
|
|
|
|
6430072
| 47
| | Red | Green | Blue
| z | | 19.10
| znorm | | 14.92
| sky | 14.6 | 14.4 | 14.7
| S/N | 15.1 | 23.5 | 25.3
| S/N(c) | 22.3 | 14.7 | 40.3
| SN(E/C) | 0.97
|
|
|
|
|
|
|
6430073
| 47
| | Red | Green | Blue
| z | | 19.07
| znorm | | 14.89
| sky | 14.7 | 14.6 | 14.6
| S/N | 15.0 | 23.5 | 24.8
| S/N(c) | 22.0 | 14.4 | 40.0
| SN(E/C) | 0.99
|
|
|
|
|
|
|
6430074
| 47
| | Red | Green | Blue
| z | | 18.93
| znorm | | 14.75
| sky | 14.7 | 14.7 | 14.8
| S/N | 13.5 | 21.9 | 23.8
| S/N(c) | 20.4 | 13.4 | 37.2
| SN(E/C) | 0.99
|
|
|
|
|
|
|
6430075
| 47
| | Red | Green | Blue
| z | | 18.96
| znorm | | 14.78
| sky | 14.9 | 14.8 | 14.8
| S/N | 13.8 | 21.9 | 23.2
| S/N(c) | 20.4 | 13.6 | 37.7
| SN(E/C) | 0.98
|
|
|
|
|
|
|
6430076
| 47
| | Red | Green | Blue
| z | | 18.83
| znorm | | 14.65
| sky | 14.7 | 14.8 | 14.7
| S/N | 12.5 | 20.5 | 21.7
| S/N(c) | 19.3 | 12.7 | 35.4
| SN(E/C) | 1.00
|
|
|
|
|
|
|