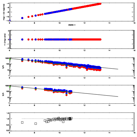
Left plots: red are targets, blue are telluric. Observed mags are calculated from median value of green chip. Zeropoint gives overall throughput: bigger number is more throughput.
First spatial plots: circles are objects, squares are tellurics, crosses are sky fibers. Colors give deviation of observed mag from expected 2MASS mag using the median zeropoint; red is brighter
Second spatial plots: circles are sky fibers. Colors give sky line brightness relative to plate median sky line brightness
FrameNreadsZeropointsMag plots Spatial mag deviation Spatial sky 16325A emission deviations (filled: sky, open: star) Spatial sky continuum emission Spatial sky telluric CO2 absorption deviations (filled: H < 10)
0 0
RedGreenBlue
z17.64
znorm Inf
sky -Inf -NaN -Inf
S/N 25.9 42.8 45.8
S/N(c) 0.0 0.0 0.0
SN(E/C) 0.96

IPAIRNAMESHIFTNEWSHIFTS/N NAMESHIFTNEWSHIFTS/N
0 06430071 0.480361 0.00000 19.0772 06430072 0.000618686 0.479742 19.0823
1 06430070 0.479637 0.000724018 19.1395 06430069 0.00000 0.480361 19.1476
2 06430075 0.478997 0.00136402 18.9395 06430073 0.000936954 0.479424 19.0557
3 06430074 0.479290 0.00107101 18.9179 06430076 -0.000673756 0.481035 18.8250