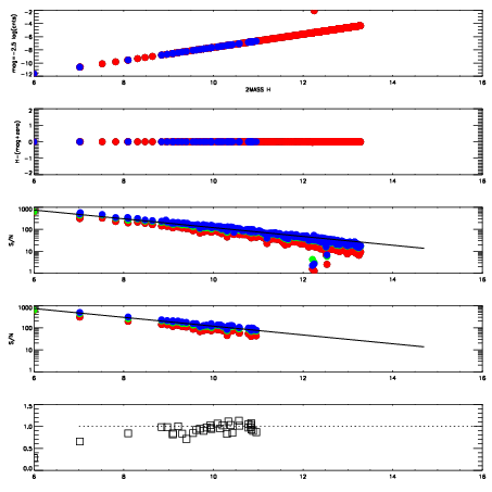
Left plots: red are targets, blue are telluric. Observed mags are calculated from median value of green chip. Zeropoint gives overall throughput: bigger number is more throughput.
First spatial plots: circles are objects, squares are tellurics, crosses are sky fibers. Colors give deviation of observed mag from expected 2MASS mag using the median zeropoint; red is brighter
Second spatial plots: circles are sky fibers. Colors give sky line brightness relative to plate median sky line brightness
FrameNreadsZeropointsMag plots Spatial mag deviation Spatial sky 16325A emission deviations (filled: sky, open: star) Spatial sky continuum emission Spatial sky telluric CO2 absorption deviations (filled: H < 10)
0 0
RedGreenBlue
z17.63
znorm Inf
sky -NaN -NaN -Inf
S/N 21.2 38.4 40.5
S/N(c) 0.0 0.0 0.0
SN(E/C) 0.95

IPAIRNAMESHIFTNEWSHIFTS/N NAMESHIFTNEWSHIFTS/N
0 06770012 0.492230 0.00000 18.9301 06770013 0.00216007 0.490070 18.9499
1 06770011 0.492167 6.30021e-05 18.7476 06770010 0.00000 0.492230 18.9279
2 06770015 0.491105 0.00112501 18.6155 06770014 0.00297263 0.489257 18.8465
3 06770016 0.492209 2.10106e-05 18.5100 06770017 0.00671199 0.485518 18.3475