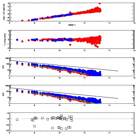
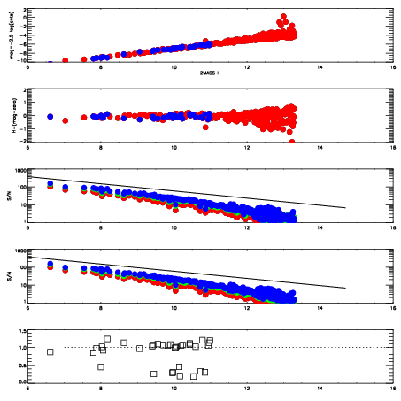
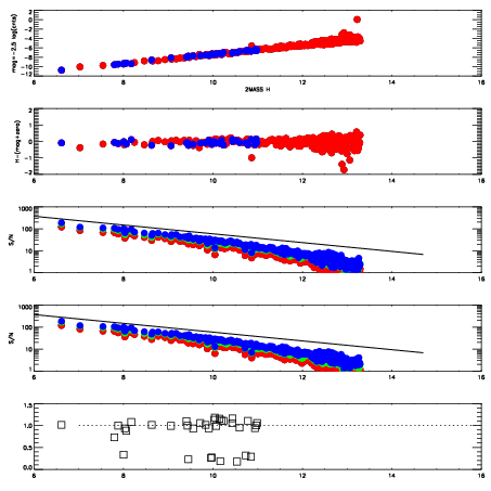
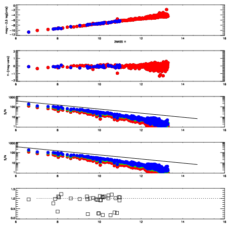
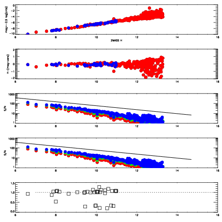
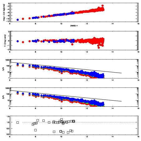
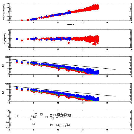
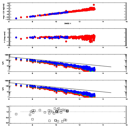
Frame | Nreads | Zeropoints | Mag plots
| Spatial mag deviation
| Spatial sky 16325A emission deviations (filled: sky, open: star)
| Spatial sky continuum emission
| Spatial sky telluric CO2 absorption deviations (filled: H < 10)
|
3140062
| 47
| | Red | Green | Blue
| z | | 17.43
| znorm | | 13.25
| sky | 12.2 | 12.1 | 12.1
| S/N | 4.4 | 6.9 | 7.4
| S/N(c) | 7.9 | 2.2 | 8.8
| SN(E/C) | 0.97
|
|
|
|
|
|
|
3140063
| 47
| | Red | Green | Blue
| z | | 17.33
| znorm | | 13.15
| sky | 12.1 | 12.1 | 12.1
| S/N | 3.9 | 6.4 | 6.6
| S/N(c) | 7.3 | 2.0 | 8.2
| SN(E/C) | 1.02
|
|
|
|
|
|
|
3140064
| 47
| | Red | Green | Blue
| z | | 17.58
| znorm | | 13.40
| sky | 12.2 | 12.1 | 12.2
| S/N | 4.8 | 7.7 | 8.1
| S/N(c) | 9.0 | 2.5 | 9.9
| SN(E/C) | 0.99
|
|
|
|
|
|
|
3140065
| 47
| | Red | Green | Blue
| z | | 17.44
| znorm | | 13.26
| sky | 12.1 | 12.1 | 12.2
| S/N | 4.0 | 6.8 | 7.3
| S/N(c) | 8.0 | 2.2 | 9.2
| SN(E/C) | 0.99
|
|
|
|
|
|
|
3140066
| 47
| | Red | Green | Blue
| z | | 17.06
| znorm | | 12.88
| sky | 12.1 | 12.0 | 12.1
| S/N | 3.1 | 4.8 | 5.1
| S/N(c) | 5.9 | 1.6 | 6.9
| SN(E/C) | 1.02
|
|
|
|
|
|
|
3140067
| 47
| | Red | Green | Blue
| z | | 16.64
| znorm | | 12.46
| sky | 12.0 | 12.0 | 12.0
| S/N | 2.0 | 3.5 | 3.5
| S/N(c) | 4.0 | 1.1 | 4.8
| SN(E/C) | 1.01
|
|
|
|
|
|
|
3140068
| 47
| | Red | Green | Blue
| z | | 17.21
| znorm | | 13.03
| sky | 12.1 | 12.0 | 12.1
| S/N | 3.1 | 5.3 | 5.8
| S/N(c) | 6.3 | 1.8 | 7.6
| SN(E/C) | 1.01
|
|
|
|
|
|
|
3140069
| 47
| | Red | Green | Blue
| z | | 17.38
| znorm | | 13.20
| sky | 12.1 | 12.1 | 12.1
| S/N | 3.7 | 6.4 | 6.8
| S/N(c) | 7.5 | 2.1 | 8.8
| SN(E/C) | 0.97
|
|
|
|
|
|
|