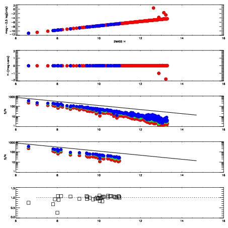
Left plots: red are targets, blue are telluric. Observed mags are calculated from median value of green chip. Zeropoint gives overall throughput: bigger number is more throughput.
First spatial plots: circles are objects, squares are tellurics, crosses are sky fibers. Colors give deviation of observed mag from expected 2MASS mag using the median zeropoint; red is brighter
Second spatial plots: circles are sky fibers. Colors give sky line brightness relative to plate median sky line brightness
FrameNreadsZeropointsMag plots Spatial mag deviation Spatial sky 16325A emission deviations (filled: sky, open: star) Spatial sky continuum emission Spatial sky telluric CO2 absorption deviations (filled: H < 10)
0 0
RedGreenBlue
z17.65
znorm Inf
sky -Inf -Inf -Inf
S/N 6.5 10.9 12.3
S/N(c) 0.0 0.0 0.0
SN(E/C) 1.00

IPAIRNAMESHIFTNEWSHIFTS/N NAMESHIFTNEWSHIFTS/N
0 03140064 0.511407 0.00000 17.5328 03140065 0.000822179 0.510585 17.3966
1 03140063 0.510344 0.00106299 17.2972 03140062 0.00000 0.511407 17.3944
2 03140068 0.510529 0.000878036 17.1601 03140069 -0.00172231 0.513129 17.3438
3 03140067 0.509166 0.00224102 16.5938 03140066 -0.00106814 0.512475 17.0204