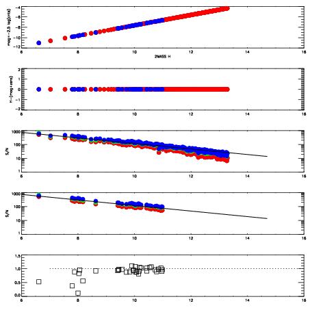
Left plots: red are targets, blue are telluric. Observed mags are calculated from median value of green chip. Zeropoint gives overall throughput: bigger number is more throughput.
First spatial plots: circles are objects, squares are tellurics, crosses are sky fibers. Colors give deviation of observed mag from expected 2MASS mag using the median zeropoint; red is brighter
Second spatial plots: circles are sky fibers. Colors give sky line brightness relative to plate median sky line brightness
FrameNreadsZeropointsMag plots Spatial mag deviation Spatial sky 16325A emission deviations (filled: sky, open: star) Spatial sky continuum emission Spatial sky telluric CO2 absorption deviations (filled: H < 10)
0 0
RedGreenBlue
z17.63
znorm Inf
sky -NaN -NaN -Inf
S/N 27.5 46.7 49.7
S/N(c) 0.0 0.0 0.0
SN(E/C) 0.93

IPAIRNAMESHIFTNEWSHIFTS/N NAMESHIFTNEWSHIFTS/N
0 04290010 0.498191 0.00000 18.8209 04290008 0.00000 0.498191 18.7689
1 04290013 0.494868 0.00332299 18.9902 04290012 5.33984e-05 0.498138 18.9372
2 04290014 0.495792 0.00239900 18.9746 04290015 0.00158656 0.496604 18.9220
3 04290009 0.495052 0.00313899 18.8393 04290011 0.000607461 0.497584 18.8653