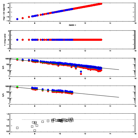
Left plots: red are targets, blue are telluric. Observed mags are calculated from median value of green chip. Zeropoint gives overall throughput: bigger number is more throughput.
First spatial plots: circles are objects, squares are tellurics, crosses are sky fibers. Colors give deviation of observed mag from expected 2MASS mag using the median zeropoint; red is brighter
Second spatial plots: circles are sky fibers. Colors give sky line brightness relative to plate median sky line brightness
FrameNreadsZeropointsMag plots Spatial mag deviation Spatial sky 16325A emission deviations (filled: sky, open: star) Spatial sky continuum emission Spatial sky telluric CO2 absorption deviations (filled: H < 10)
0 0
RedGreenBlue
z17.64
znorm Inf
sky -Inf -Inf -Inf
S/N 27.8 48.2 52.1
S/N(c) 0.0 0.0 0.0
SN(E/C) 0.92

IPAIRNAMESHIFTNEWSHIFTS/N NAMESHIFTNEWSHIFTS/N
0 06700065 0.484158 0.00000 19.1283 06700063 0.00000 0.484158 19.1342
1 06700069 0.477663 0.00649500 19.1370 06700070 0.00262370 0.481534 19.1746
2 06700068 0.476984 0.00717402 19.1308 06700067 -0.000460944 0.484619 19.1589
3 06700064 0.483422 0.000735998 19.1120 06700066 -0.000231295 0.484389 19.1190