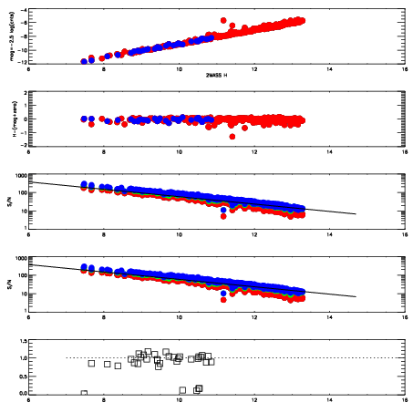
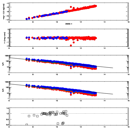
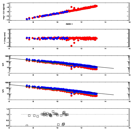
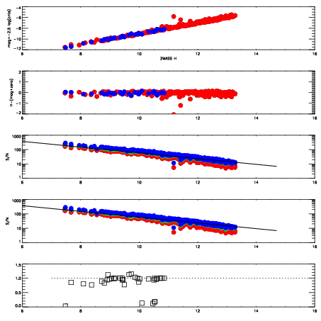
Frame | Nreads | Zeropoints | Mag plots
| Spatial mag deviation
| Spatial sky 16325A emission deviations (filled: sky, open: star)
| Spatial sky continuum emission
| Spatial sky telluric CO2 absorption deviations (filled: H < 10)
|
2870086
| 47
| | Red | Green | Blue
| z | | 18.86
| znorm | | 14.68
| sky | 14.8 | 14.5 | 14.7
| S/N | 12.9 | 21.9 | 22.6
| S/N(c) | 21.5 | 25.7 | 8.5
| SN(E/C) | 0.98
|
|
|
|
|
|
|
2870087
| 47
| | Red | Green | Blue
| z | | 18.94
| znorm | | 14.76
| sky | 15.0 | 14.6 | 15.0
| S/N | 13.7 | 23.0 | 24.4
| S/N(c) | 22.5 | 27.0 | 9.0
| SN(E/C) | 0.96
|
|
|
|
|
|
|
2870088
| 47
| | Red | Green | Blue
| z | | 19.05
| znorm | | 14.87
| sky | 14.9 | 14.7 | 15.0
| S/N | 14.7 | 24.4 | 25.8
| S/N(c) | 23.8 | 28.5 | 9.4
| SN(E/C) | 0.96
|
|
|
|
|
|
|
2870089
| 47
| | Red | Green | Blue
| z | | 18.85
| znorm | | 14.67
| sky | 14.8 | 14.7 | 15.2
| S/N | 12.6 | 21.8 | 22.6
| S/N(c) | 21.1 | 25.8 | 8.6
| SN(E/C) | 0.98
|
|
|
|
|
|
|
2870090
| 47
| | Red | Green | Blue
| z | | 18.99
| znorm | | 14.81
| sky | 14.9 | 14.9 | 15.0
| S/N | 14.0 | 23.7 | 25.1
| S/N(c) | 23.1 | 28.0 | 9.1
| SN(E/C) | 0.97
|
|
|
|
|
|
|
2870091
| 47
| | Red | Green | Blue
| z | | 19.08
| znorm | | 14.90
| sky | 14.9 | 14.9 | 15.0
| S/N | 14.7 | 24.6 | 26.1
| S/N(c) | 24.3 | 29.2 | 9.7
| SN(E/C) | 0.93
|
|
|
|
|
|
|
2870092
| 47
| | Red | Green | Blue
| z | | 19.13
| znorm | | 14.95
| sky | 14.7 | 15.1 | 15.0
| S/N | 15.3 | 25.5 | 26.9
| S/N(c) | 24.9 | 29.8 | 9.9
| SN(E/C) | 0.96
|
|
|
|
|
|
|
2870093
| 47
| | Red | Green | Blue
| z | | 19.03
| znorm | | 14.85
| sky | 14.6 | 14.9 | 15.1
| S/N | 13.9 | 24.1 | 26.1
| S/N(c) | 23.7 | 28.4 | 9.4
| SN(E/C) | 0.94
|
|
|
|
|
|
|