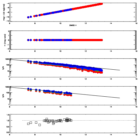
Left plots: red are targets, blue are telluric. Observed mags are calculated from median value of green chip. Zeropoint gives overall throughput: bigger number is more throughput.
First spatial plots: circles are objects, squares are tellurics, crosses are sky fibers. Colors give deviation of observed mag from expected 2MASS mag using the median zeropoint; red is brighter
Second spatial plots: circles are sky fibers. Colors give sky line brightness relative to plate median sky line brightness
FrameNreadsZeropointsMag plots Spatial mag deviation Spatial sky 16325A emission deviations (filled: sky, open: star) Spatial sky continuum emission Spatial sky telluric CO2 absorption deviations (filled: H < 10)
0 0
RedGreenBlue
z17.64
znorm Inf
sky -Inf -Inf -Inf
S/N 17.7 31.7 33.4
S/N(c) 0.0 0.0 0.0
SN(E/C) 0.97

IPAIRNAMESHIFTNEWSHIFTS/N NAMESHIFTNEWSHIFTS/N
0 03650049 0.509742 0.00000 18.2815 03650050 0.00214480 0.507597 18.1559
1 03650052 0.505163 0.00457901 18.8384 03650047 0.00000 0.509742 18.4713
2 03650053 0.507764 0.00197804 18.7111 03650054 0.00329345 0.506449 18.2481
3 03650048 0.507073 0.00266904 18.3726 03650051 0.00154581 0.508196 18.2181