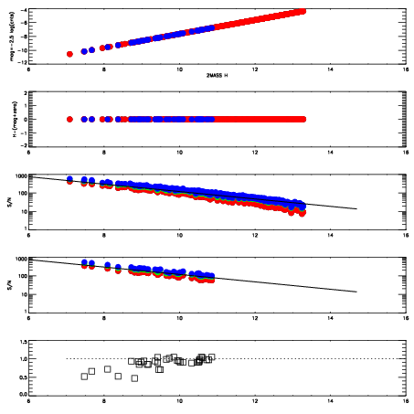
Left plots: red are targets, blue are telluric. Observed mags are calculated from median value of green chip. Zeropoint gives overall throughput: bigger number is more throughput.
First spatial plots: circles are objects, squares are tellurics, crosses are sky fibers. Colors give deviation of observed mag from expected 2MASS mag using the median zeropoint; red is brighter
Second spatial plots: circles are sky fibers. Colors give sky line brightness relative to plate median sky line brightness
FrameNreadsZeropointsMag plots Spatial mag deviation Spatial sky 16325A emission deviations (filled: sky, open: star) Spatial sky continuum emission Spatial sky telluric CO2 absorption deviations (filled: H < 10)
0 0
RedGreenBlue
z17.64
znorm Inf
sky -Inf -Inf -Inf
S/N 27.4 47.5 49.7
S/N(c) 0.0 0.0 0.0
SN(E/C) 0.92

IPAIRNAMESHIFTNEWSHIFTS/N NAMESHIFTNEWSHIFTS/N
0 02860092 0.411835 0.00000 19.0547 02860093 1.64649e-05 0.411819 19.0213
1 02860087 0.408436 0.00339901 19.1426 02860086 0.00000 0.411835 19.1360
2 02860088 0.409585 0.00225002 19.1195 02860089 0.000526887 0.411308 19.1103
3 02860091 0.410396 0.00143901 19.0586 02860090 -0.00111569 0.412951 19.0819