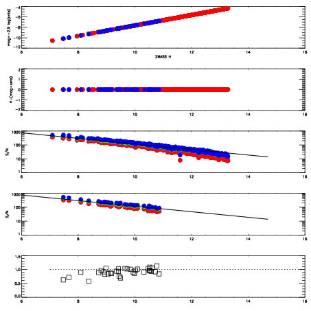
Left plots: red are targets, blue are telluric. Observed mags are calculated from median value of green chip. Zeropoint gives overall throughput: bigger number is more throughput.
First spatial plots: circles are objects, squares are tellurics, crosses are sky fibers. Colors give deviation of observed mag from expected 2MASS mag using the median zeropoint; red is brighter
Second spatial plots: circles are sky fibers. Colors give sky line brightness relative to plate median sky line brightness
FrameNreadsZeropointsMag plots Spatial mag deviation Spatial sky 16325A emission deviations (filled: sky, open: star) Spatial sky continuum emission Spatial sky telluric CO2 absorption deviations (filled: H < 10)
0 0
RedGreenBlue
z17.64
znorm Inf
sky -Inf -Inf -Inf
S/N 22.1 39.6 41.6
S/N(c) 0.0 0.0 0.0
SN(E/C) 0.92

IPAIRNAMESHIFTNEWSHIFTS/N NAMESHIFTNEWSHIFTS/N
0 04050038 0.499371 0.00000 18.7283 04050039 0.00179473 0.497576 18.6196
1 04050037 0.498056 0.00131500 18.8928 04050043 0.00296951 0.496401 18.8629
2 04050041 0.496312 0.00305900 18.8782 04050036 0.00000 0.499371 18.8353
3 04050042 0.498950 0.000420988 18.7805 04050040 0.00108048 0.498291 18.6996