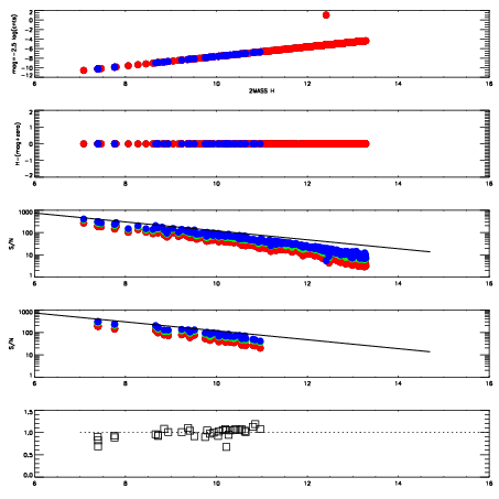
Left plots: red are targets, blue are telluric. Observed mags are calculated from median value of green chip. Zeropoint gives overall throughput: bigger number is more throughput.
First spatial plots: circles are objects, squares are tellurics, crosses are sky fibers. Colors give deviation of observed mag from expected 2MASS mag using the median zeropoint; red is brighter
Second spatial plots: circles are sky fibers. Colors give sky line brightness relative to plate median sky line brightness
FrameNreadsZeropointsMag plots Spatial mag deviation Spatial sky 16325A emission deviations (filled: sky, open: star) Spatial sky continuum emission Spatial sky telluric CO2 absorption deviations (filled: H < 10)
0 0
RedGreenBlue
z17.64
znorm Inf
sky -Inf -NaN -Inf
S/N 11.2 19.8 22.0
S/N(c) 0.0 0.0 0.0
SN(E/C) 1.01

IPAIRNAMESHIFTNEWSHIFTS/N NAMESHIFTNEWSHIFTS/N
0 03140079 0.514681 0.00000 17.8774 03140076 0.00543567 0.509245 18.3365
1 03140078 0.512026 0.00265497 18.2377 03140077 0.00809683 0.506584 18.3680
2 03140075 0.513829 0.000851989 17.6334 03140080 0.00626957 0.508411 17.9038
3 03140074 0.511859 0.00282198 17.0997 03140073 0.00000 0.514681 16.9920