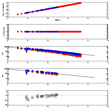
Left plots: red are targets, blue are telluric. Observed mags are calculated from median value of green chip. Zeropoint gives overall throughput: bigger number is more throughput.
First spatial plots: circles are objects, squares are tellurics, crosses are sky fibers. Colors give deviation of observed mag from expected 2MASS mag using the median zeropoint; red is brighter
Second spatial plots: circles are sky fibers. Colors give sky line brightness relative to plate median sky line brightness
FrameNreadsZeropointsMag plots Spatial mag deviation Spatial sky 16325A emission deviations (filled: sky, open: star) Spatial sky continuum emission Spatial sky telluric CO2 absorption deviations (filled: H < 10)
0 0
RedGreenBlue
z17.64
znorm Inf
sky -Inf -Inf -Inf
S/N 24.2 42.5 44.5
S/N(c) 0.0 0.0 0.0
SN(E/C) 0.91

IPAIRNAMESHIFTNEWSHIFTS/N NAMESHIFTNEWSHIFTS/N
0 02860103 0.410892 0.00000 19.0220 02860104 0.00316431 0.407728 19.0523
1 02860102 0.409118 0.00177401 19.0579 02860101 0.00000 0.410892 19.0680
2 02860107 0.410174 0.000717998 19.0063 02860105 0.00226654 0.408625 19.0255
3 02860106 0.409024 0.00186801 18.9835 02860108 0.00368202 0.407210 18.7337