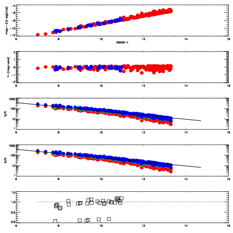
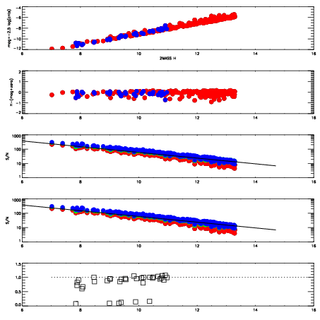
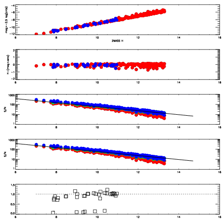
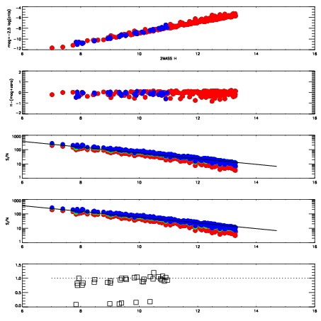
Frame | Nreads | Zeropoints | Mag plots
| Spatial mag deviation
| Spatial sky 16325A emission deviations (filled: sky, open: star)
| Spatial sky continuum emission
| Spatial sky telluric CO2 absorption deviations (filled: H < 10)
|
3120073
| 47
| | Red | Green | Blue
| z | | 19.13
| znorm | | 14.95
| sky | 15.6 | 14.9 | 14.6
| S/N | 15.0 | 24.9 | 25.7
| S/N(c) | 20.2 | 43.8 | 13.8
| SN(E/C) | 0.91
|
|
|
|
|
|
|
3120074
| 47
| | Red | Green | Blue
| z | | 19.13
| znorm | | 14.95
| sky | 15.2 | 14.8 | 14.8
| S/N | 15.4 | 25.2 | 26.2
| S/N(c) | 20.7 | 44.4 | 13.8
| SN(E/C) | 0.93
|
|
|
|
|
|
|
3120075
| 47
| | Red | Green | Blue
| z | | 19.11
| znorm | | 14.93
| sky | 14.9 | 15.1 | 14.8
| S/N | 15.0 | 25.0 | 25.6
| S/N(c) | 20.7 | 44.0 | 13.8
| SN(E/C) | 0.93
|
|
|
|
|
|
|
3120076
| 47
| | Red | Green | Blue
| z | | 19.08
| znorm | | 14.90
| sky | 15.0 | 14.9 | 14.9
| S/N | 14.9 | 25.0 | 25.1
| S/N(c) | 20.6 | 43.1 | 13.6
| SN(E/C) | 0.90
|
|
|
|
|
|
|
3120077
| 47
| | Red | Green | Blue
| z | | 18.88
| znorm | | 14.70
| sky | 14.6 | 14.7 | 14.6
| S/N | 12.9 | 22.4 | 22.4
| S/N(c) | 18.3 | 38.9 | 12.2
| SN(E/C) | 0.93
|
|
|
|
|
|
|
3120078
| 47
| | Red | Green | Blue
| z | | 18.81
| znorm | | 14.63
| sky | 14.7 | 14.6 | 14.6
| S/N | 12.2 | 20.9 | 21.3
| S/N(c) | 17.5 | 37.3 | 11.7
| SN(E/C) | 0.93
|
|
|
|
|
|
|
3120079
| 47
| | Red | Green | Blue
| z | | 18.82
| znorm | | 14.64
| sky | 14.7 | 14.6 | 14.6
| S/N | 12.3 | 21.1 | 21.6
| S/N(c) | 17.5 | 37.9 | 12.1
| SN(E/C) | 0.95
|
|
|
|
|
|
|
3120080
| 47
| | Red | Green | Blue
| z | | 19.06
| znorm | | 14.87
| sky | 15.1 | 15.0 | 14.9
| S/N | 14.6 | 24.5 | 25.2
| S/N(c) | 20.2 | 42.4 | 13.6
| SN(E/C) | 0.92
|
|
|
|
|
|
|