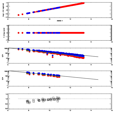
Left plots: red are targets, blue are telluric. Observed mags are calculated from median value of green chip. Zeropoint gives overall throughput: bigger number is more throughput.
First spatial plots: circles are objects, squares are tellurics, crosses are sky fibers. Colors give deviation of observed mag from expected 2MASS mag using the median zeropoint; red is brighter
Second spatial plots: circles are sky fibers. Colors give sky line brightness relative to plate median sky line brightness
FrameNreadsZeropointsMag plots Spatial mag deviation Spatial sky 16325A emission deviations (filled: sky, open: star) Spatial sky continuum emission Spatial sky telluric CO2 absorption deviations (filled: H < 10)
0 0
RedGreenBlue
z17.64
znorm Inf
sky -Inf -NaN -Inf
S/N 31.5 55.4 58.1
S/N(c) 0.0 0.0 0.0
SN(E/C) 0.89

IPAIRNAMESHIFTNEWSHIFTS/N NAMESHIFTNEWSHIFTS/N
0 02810051 0.416100 0.00000 18.8771 02810049 0.00000 0.416100 18.8222
1 02810062 0.409475 0.00662500 18.9150 02810052 -0.000938894 0.417039 18.8649
2 02810059 0.410357 0.00574300 18.8994 02810053 -0.00251416 0.418614 18.8346
3 02810058 0.409121 0.00697899 18.8862 02810057 -0.00343849 0.419538 18.8314
4 02810055 0.413329 0.00277099 18.8571 02810056 -0.000783748 0.416884 18.8164
5 02810050 0.411845 0.00425500 18.8339 02810061 -0.00278652 0.418887 18.7885
6 02810063 0.411119 0.00498098 18.8093 02810064 -0.00214778 0.418248 18.7806
7 02810054 0.410603 0.00549701 18.8001 02810060 -0.00104940 0.417149 18.7439