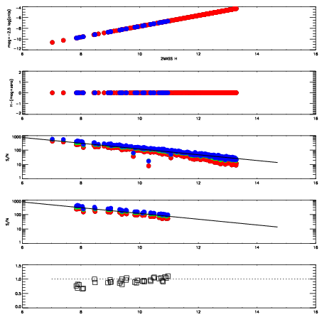
Left plots: red are targets, blue are telluric. Observed mags are calculated from median value of green chip. Zeropoint gives overall throughput: bigger number is more throughput.
First spatial plots: circles are objects, squares are tellurics, crosses are sky fibers. Colors give deviation of observed mag from expected 2MASS mag using the median zeropoint; red is brighter
Second spatial plots: circles are sky fibers. Colors give sky line brightness relative to plate median sky line brightness
FrameNreadsZeropointsMag plots Spatial mag deviation Spatial sky 16325A emission deviations (filled: sky, open: star) Spatial sky continuum emission Spatial sky telluric CO2 absorption deviations (filled: H < 10)
0 0
RedGreenBlue
z17.64
znorm Inf
sky -Inf -Inf -Inf
S/N 26.1 43.9 47.4
S/N(c) 0.0 0.0 0.0
SN(E/C) 0.92

IPAIRNAMESHIFTNEWSHIFTS/N NAMESHIFTNEWSHIFTS/N
0 02820085 0.421271 0.00000 19.0880 02820083 0.00384437 0.417427 19.0378
1 02820084 0.418682 0.00258899 19.0915 02820082 0.00536664 0.415904 19.0927
2 02820081 0.415921 0.00534999 19.0681 02820079 0.00000 0.421271 19.0075
3 02820080 0.415186 0.00608501 19.0452 02820086 0.00645828 0.414813 19.0004