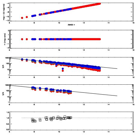
Left plots: red are targets, blue are telluric. Observed mags are calculated from median value of green chip. Zeropoint gives overall throughput: bigger number is more throughput.
First spatial plots: circles are objects, squares are tellurics, crosses are sky fibers. Colors give deviation of observed mag from expected 2MASS mag using the median zeropoint; red is brighter
Second spatial plots: circles are sky fibers. Colors give sky line brightness relative to plate median sky line brightness
FrameNreadsZeropointsMag plots Spatial mag deviation Spatial sky 16325A emission deviations (filled: sky, open: star) Spatial sky continuum emission Spatial sky telluric CO2 absorption deviations (filled: H < 10)
0 0
RedGreenBlue
z17.64
znorm Inf
sky -Inf -Inf -Inf
S/N 20.9 37.5 39.3
S/N(c) 0.0 0.0 0.0
SN(E/C) 0.95

IPAIRNAMESHIFTNEWSHIFTS/N NAMESHIFTNEWSHIFTS/N
0 02830087 0.412403 0.00000 16.5493 02830088 0.00114102 0.411262 15.3109
1 02830083 0.410812 0.00159100 19.1332 02830081 0.00000 0.412403 19.0179
2 02830082 0.408762 0.00364098 19.0480 02830084 0.000449424 0.411954 18.9756
3 02830086 0.410170 0.00223300 17.7609 02830085 -0.000356477 0.412759 18.5495