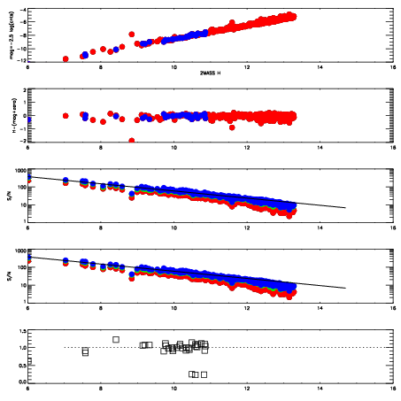
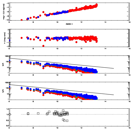
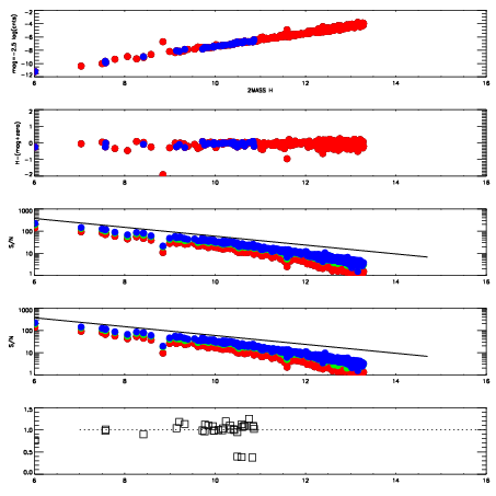
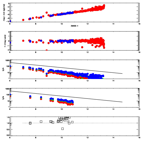
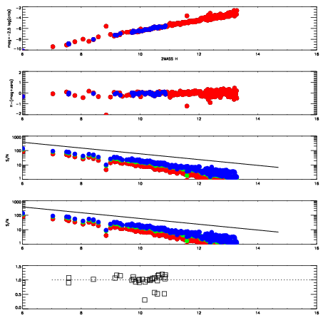
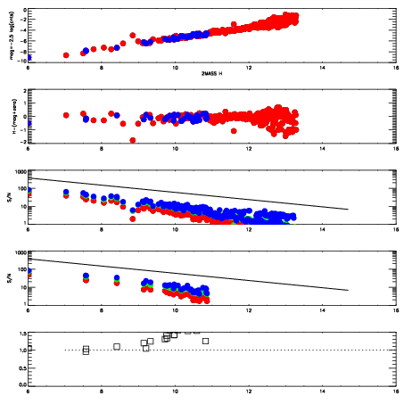
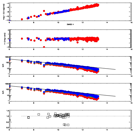
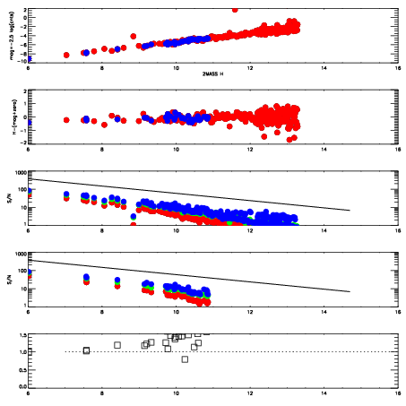
Frame | Nreads | Zeropoints | Mag plots
| Spatial mag deviation
| Spatial sky 16325A emission deviations (filled: sky, open: star)
| Spatial sky continuum emission
| Spatial sky telluric CO2 absorption deviations (filled: H < 10)
|
3120084
| 47
| | Red | Green | Blue
| z | | 18.37
| znorm | | 14.19
| sky | 14.3 | 14.1 | 14.2
| S/N | 8.9 | 15.9 | 17.0
| S/N(c) | 9.1 | 7.6 | 14.2
| SN(E/C) | 1.03
|
|
|
|
|
|
|
3120085
| 47
| | Red | Green | Blue
| z | | 18.58
| znorm | | 14.40
| sky | 14.6 | 14.3 | 14.5
| S/N | 11.0 | 18.6 | 20.5
| S/N(c) | 10.7 | 8.7 | 16.3
| SN(E/C) | 1.00
|
|
|
|
|
|
|
3120086
| 47
| | Red | Green | Blue
| z | | 17.47
| znorm | | 13.29
| sky | 13.8 | 13.6 | 13.8
| S/N | 4.1 | 8.1 | 8.5
| S/N(c) | 4.6 | 4.3 | 8.5
| SN(E/C) | 1.02
|
|
|
|
|
|
|
3120087
| 47
| | Red | Green | Blue
| z | | 16.84
| znorm | | 12.66
| sky | 13.7 | 13.6 | 13.8
| S/N | 2.4 | 4.9 | 5.1
| S/N(c) | 2.9 | 3.0 | 5.8
| SN(E/C) | 1.05
|
|
|
|
|
|
|
3120088
| 47
| | Red | Green | Blue
| z | | 16.47
| znorm | | 12.29
| sky | 13.5 | 13.4 | 13.5
| S/N | 1.7 | 3.5 | 3.8
| S/N(c) | 2.1 | 2.2 | 4.5
| SN(E/C) | 1.02
|
|
|
|
|
|
|
3120089
| 47
| | Red | Green | Blue
| z | | 15.53
| znorm | | 11.35
| sky | 13.4 | 13.4 | 13.5
| S/N | 0.4 | 1.5 | 1.5
| S/N(c) | 0.0 | 0.0 | 0.0
| SN(E/C) | 1.46
|
|
|
|
|
|
|
3120090
| 47
| | Red | Green | Blue
| z | | 15.91
| znorm | | 11.73
| sky | 13.4 | 13.3 | 13.4
| S/N | 1.0 | 2.1 | 2.2
| S/N(c) | 0.0 | 0.0 | 0.0
| SN(E/C) | 1.31
|
|
|
|
|
|
|
3120091
| 47
| | Red | Green | Blue
| z | | 15.59
| znorm | | 11.41
| sky | 13.4 | 13.4 | 13.4
| S/N | 0.8 | 1.6 | 1.5
| S/N(c) | 0.0 | 0.0 | 0.0
| SN(E/C) | 1.56
|
|
|
|
|
|
|