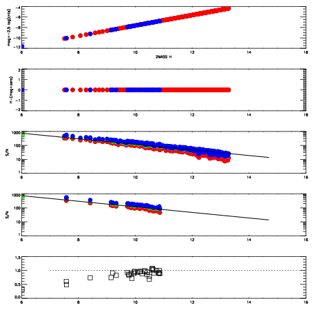
Left plots: red are targets, blue are telluric. Observed mags are calculated from median value of green chip. Zeropoint gives overall throughput: bigger number is more throughput.
First spatial plots: circles are objects, squares are tellurics, crosses are sky fibers. Colors give deviation of observed mag from expected 2MASS mag using the median zeropoint; red is brighter
Second spatial plots: circles are sky fibers. Colors give sky line brightness relative to plate median sky line brightness
FrameNreadsZeropointsMag plots Spatial mag deviation Spatial sky 16325A emission deviations (filled: sky, open: star) Spatial sky continuum emission Spatial sky telluric CO2 absorption deviations (filled: H < 10)
0 0
RedGreenBlue
z17.64
znorm Inf
sky -Inf -Inf -NaN
S/N 23.4 42.4 42.5
S/N(c) 0.0 0.0 0.0
SN(E/C) 0.90

IPAIRNAMESHIFTNEWSHIFTS/N NAMESHIFTNEWSHIFTS/N
0 06760023 0.491354 0.00000 19.1545 06760021 0.00000 0.491354 19.1107
1 06760027 0.489654 0.00169998 19.1814 06760028 0.00225442 0.489100 19.1975
2 06760022 0.490910 0.000443995 19.1624 06760024 0.00421765 0.487136 19.1872
3 06760026 0.489118 0.00223598 19.1595 06760025 0.00116911 0.490185 19.1709