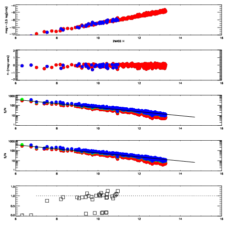
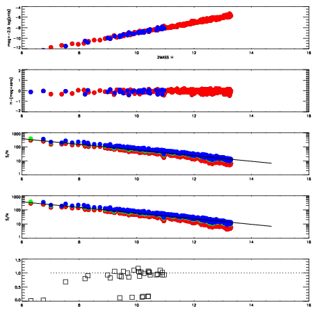
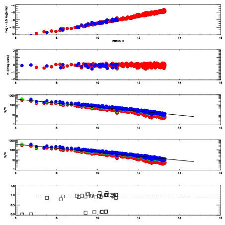
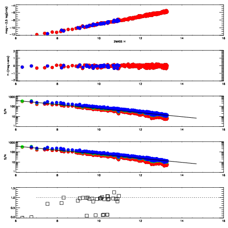
Frame | Nreads | Zeropoints | Mag plots
| Spatial mag deviation
| Spatial sky 16325A emission deviations (filled: sky, open: star)
| Spatial sky continuum emission
| Spatial sky telluric CO2 absorption deviations (filled: H < 10)
|
2850045
| 47
| | Red | Green | Blue
| z | | 18.85
| znorm | | 14.67
| sky | 15.2 | 14.8 | 14.8
| S/N | 13.9 | 23.6 | 24.9
| S/N(c) | 25.6 | 4.1 | 26.5
| SN(E/C) | 0.95
|
|
|
|
|
|
|
2850046
| 47
| | Red | Green | Blue
| z | | 18.99
| znorm | | 14.81
| sky | 15.0 | 14.9 | 14.9
| S/N | 15.3 | 25.4 | 27.3
| S/N(c) | 27.5 | 4.4 | 28.4
| SN(E/C) | 0.93
|
|
|
|
|
|
|
2850047
| 47
| | Red | Green | Blue
| z | | 18.99
| znorm | | 14.81
| sky | 15.1 | 14.9 | 14.8
| S/N | 15.4 | 26.0 | 27.3
| S/N(c) | 28.0 | 4.4 | 28.5
| SN(E/C) | 0.93
|
|
|
|
|
|
|
2850048
| 47
| | Red | Green | Blue
| z | | 18.96
| znorm | | 14.78
| sky | 15.0 | 14.9 | 14.9
| S/N | 15.1 | 25.3 | 26.9
| S/N(c) | 27.1 | 4.3 | 28.9
| SN(E/C) | 0.93
|
|
|
|
|
|
|
2850049
| 47
| | Red | Green | Blue
| z | | 19.00
| znorm | | 14.82
| sky | 14.8 | 14.9 | 14.8
| S/N | 15.5 | 25.8 | 26.9
| S/N(c) | 27.9 | 4.4 | 28.7
| SN(E/C) | 0.95
|
|
|
|
|
|
|
2850050
| 47
| | Red | Green | Blue
| z | | 19.05
| znorm | | 14.87
| sky | 14.9 | 14.9 | 14.8
| S/N | 16.0 | 26.9 | 28.1
| S/N(c) | 28.7 | 4.6 | 30.0
| SN(E/C) | 0.93
|
|
|
|
|
|
|
2850051
| 47
| | Red | Green | Blue
| z | | 19.07
| znorm | | 14.89
| sky | 15.1 | 15.0 | 14.8
| S/N | 16.3 | 26.9 | 27.9
| S/N(c) | 29.2 | 4.6 | 30.2
| SN(E/C) | 0.92
|
|
|
|
|
|
|
2850052
| 47
| | Red | Green | Blue
| z | | 19.04
| znorm | | 14.86
| sky | 15.0 | 15.0 | 14.9
| S/N | 16.0 | 26.6 | 27.4
| S/N(c) | 28.8 | 4.5 | 30.2
| SN(E/C) | 0.94
|
|
|
|
|
|
|
2850053
| 47
| | Red | Green | Blue
| z | | 19.05
| znorm | | 14.87
| sky | 15.2 | 15.1 | 14.8
| S/N | 16.1 | 26.6 | 27.4
| S/N(c) | 29.2 | 4.6 | 30.8
| SN(E/C) | 0.93
|
|
|
|
|
|
|
2850054
| 47
| | Red | Green | Blue
| z | | 19.03
| znorm | | 14.85
| sky | 15.0 | 15.0 | 14.9
| S/N | 15.9 | 26.3 | 27.4
| S/N(c) | 29.1 | 4.6 | 30.7
| SN(E/C) | 0.92
|
|
|
|
|
|
|
2850055
| 47
| | Red | Green | Blue
| z | | 19.13
| znorm | | 14.95
| sky | 15.0 | 15.1 | 15.0
| S/N | 16.8 | 27.5 | 28.6
| S/N(c) | 30.7 | 4.8 | 32.5
| SN(E/C) | 0.93
|
|
|
|
|
|
|
2850056
| 47
| | Red | Green | Blue
| z | | 19.15
| znorm | | 14.96
| sky | 14.9 | 15.0 | 14.8
| S/N | 16.5 | 27.5 | 29.1
| S/N(c) | 31.4 | 4.9 | 33.2
| SN(E/C) | 0.92
|
|
|
|
|
|
|