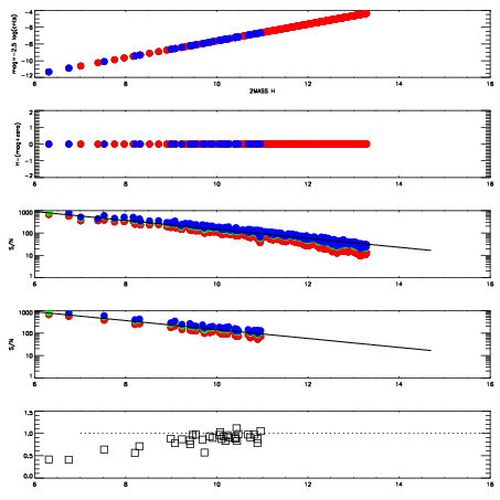
Left plots: red are targets, blue are telluric. Observed mags are calculated from median value of green chip. Zeropoint gives overall throughput: bigger number is more throughput.
First spatial plots: circles are objects, squares are tellurics, crosses are sky fibers. Colors give deviation of observed mag from expected 2MASS mag using the median zeropoint; red is brighter
Second spatial plots: circles are sky fibers. Colors give sky line brightness relative to plate median sky line brightness
FrameNreadsZeropointsMag plots Spatial mag deviation Spatial sky 16325A emission deviations (filled: sky, open: star) Spatial sky continuum emission Spatial sky telluric CO2 absorption deviations (filled: H < 10)
0 0
RedGreenBlue
z17.64
znorm Inf
sky -Inf -Inf -Inf
S/N 33.5 58.6 61.9
S/N(c) 0.0 0.0 0.0
SN(E/C) 0.88

IPAIRNAMESHIFTNEWSHIFTS/N NAMESHIFTNEWSHIFTS/N
0 02850055 0.414593 0.00000 19.1030 02850056 0.00355616 0.411037 19.1310
1 02850051 0.411858 0.00273502 19.0384 02850053 -0.00158193 0.416175 19.0215
2 02850050 0.410151 0.00444201 19.0253 02850052 0.00332716 0.411266 19.0092
3 02850054 0.412475 0.00211802 19.0046 02850049 -0.00133395 0.415927 18.9559
4 02850047 0.411926 0.00266701 18.9625 02850048 0.00346152 0.411132 18.9218
5 02850046 0.410838 0.00375500 18.9508 02850045 0.00000 0.414593 18.8081