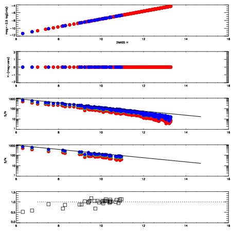
Left plots: red are targets, blue are telluric. Observed mags are calculated from median value of green chip. Zeropoint gives overall throughput: bigger number is more throughput.
First spatial plots: circles are objects, squares are tellurics, crosses are sky fibers. Colors give deviation of observed mag from expected 2MASS mag using the median zeropoint; red is brighter
Second spatial plots: circles are sky fibers. Colors give sky line brightness relative to plate median sky line brightness
FrameNreadsZeropointsMag plots Spatial mag deviation Spatial sky 16325A emission deviations (filled: sky, open: star) Spatial sky continuum emission Spatial sky telluric CO2 absorption deviations (filled: H < 10)
0 0
RedGreenBlue
z17.64
znorm Inf
sky -Inf -NaN -NaN
S/N 17.9 33.0 33.8
S/N(c) 0.0 0.0 0.0
SN(E/C) 1.01

IPAIRNAMESHIFTNEWSHIFTS/N NAMESHIFTNEWSHIFTS/N
0 03220042 0.530861 0.00000 18.9071 03220051 0.00262087 0.528240 18.5720
1 03220050 0.519009 0.0118520 18.4937 03220048 0.00196251 0.528899 18.3689
2 03220041 0.524301 0.00656003 17.9895 03220043 -0.000156360 0.531017 18.1298
3 03220046 0.525513 0.00534803 17.9863 03220047 0.00230423 0.528557 17.8815
4 03220049 0.517530 0.0133310 17.6683 03220040 0.00000 0.530861 16.9163
5 03220045 0.518929 0.0119320 17.6293 03220044 0.000415796 0.530445 16.0156