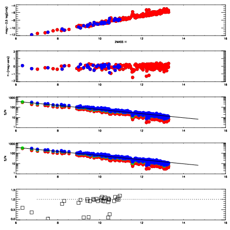
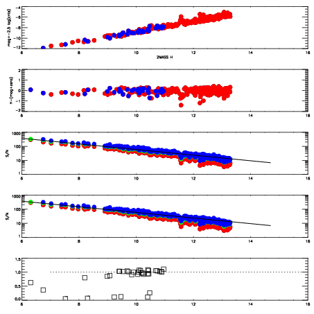
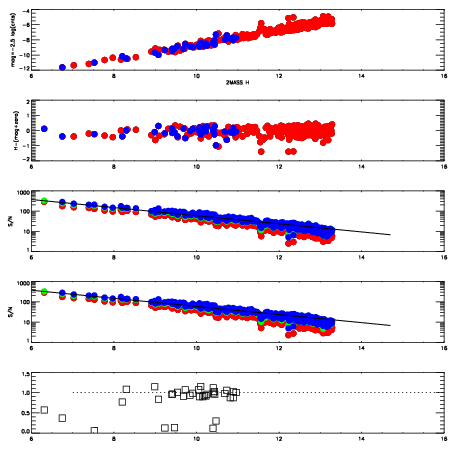
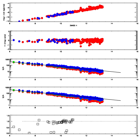
Left plots: red are targets, blue are telluric. Observed mags are calculated from median value of green chip. Zeropoint gives overall throughput: bigger number is more throughput.
First spatial plots: circles are objects, squares are tellurics, crosses are sky fibers. Colors give deviation of observed mag from expected 2MASS mag using the median zeropoint; red is brighter
Second spatial plots: circles are sky fibers. Colors give sky line brightness relative to plate median sky line brightness
FrameNreadsZeropointsMag plots Spatial mag deviation Spatial sky 16325A emission deviations (filled: sky, open: star) Spatial sky continuum emission Spatial sky telluric CO2 absorption deviations (filled: H < 10)
2850034 47
RedGreenBlue
z18.76
znorm14.58
sky 14.7 14.5 14.3
S/N 12.1 21.3 22.0
S/N(c) 6.7 14.3 24.8
SN(E/C) 0.95
2850035 47
RedGreenBlue
z18.83
znorm14.65
sky 14.6 14.6 14.9
S/N 12.7 22.4 23.8
S/N(c) 7.1 14.9 25.9
SN(E/C) 0.95
2850036 47
RedGreenBlue
z18.88
znorm14.70
sky 14.9 14.8 14.9
S/N 13.1 23.1 24.5
S/N(c) 7.1 15.1 26.6
SN(E/C) 0.97
2850037 47
RedGreenBlue
z18.91
znorm14.73
sky 14.8 14.8 14.6
S/N 13.7 23.6 24.8
S/N(c) 7.3 15.3 26.7
SN(E/C) 0.94