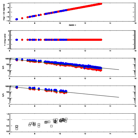
Left plots: red are targets, blue are telluric. Observed mags are calculated from median value of green chip. Zeropoint gives overall throughput: bigger number is more throughput.
First spatial plots: circles are objects, squares are tellurics, crosses are sky fibers. Colors give deviation of observed mag from expected 2MASS mag using the median zeropoint; red is brighter
Second spatial plots: circles are sky fibers. Colors give sky line brightness relative to plate median sky line brightness
FrameNreadsZeropointsMag plots Spatial mag deviation Spatial sky 16325A emission deviations (filled: sky, open: star) Spatial sky continuum emission Spatial sky telluric CO2 absorption deviations (filled: H < 10)
0 0
RedGreenBlue
z17.64
znorm Inf
sky -Inf -Inf -Inf
S/N 29.1 50.4 52.4
S/N(c) 0.0 0.0 0.0
SN(E/C) 0.82

IPAIRNAMESHIFTNEWSHIFTS/N NAMESHIFTNEWSHIFTS/N
0 03720051 0.515236 0.00000 19.1490 03720052 0.00186875 0.513367 19.1539
1 03720055 0.512891 0.00234503 19.1733 03720056 0.00119695 0.514039 19.1748
2 03720054 0.511213 0.00402302 19.1681 03720053 0.000118703 0.515117 19.1721
3 03720050 0.510950 0.00428599 19.1476 03720049 0.00000 0.515236 19.1236