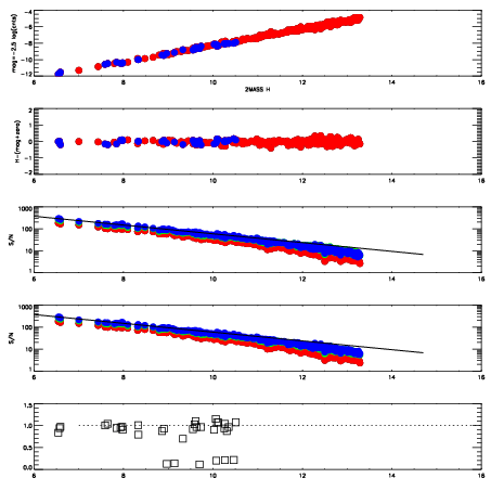
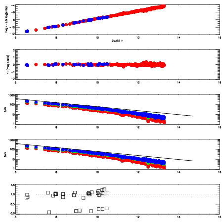
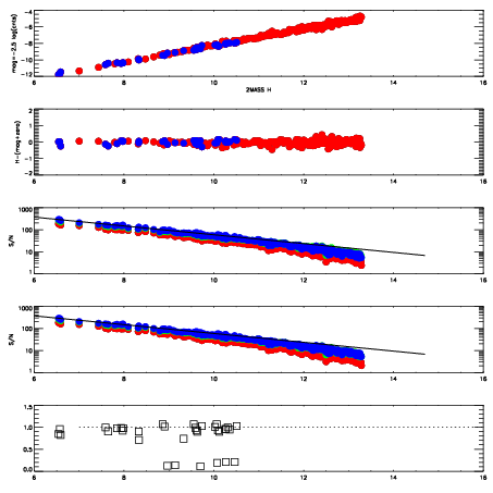
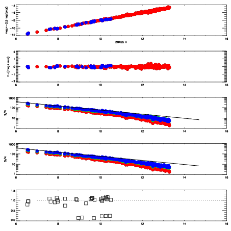
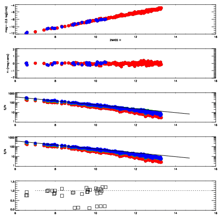
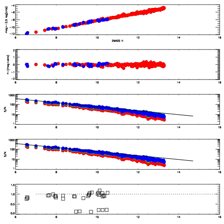
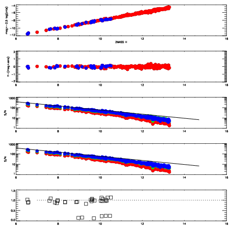
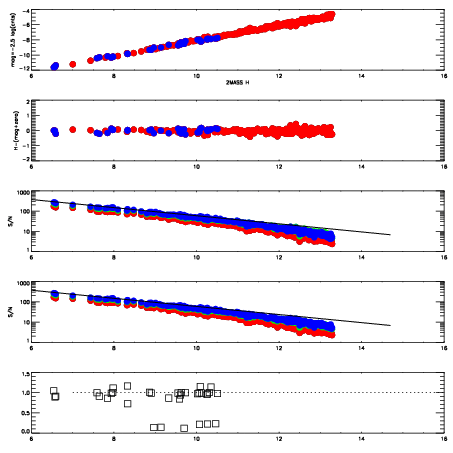
Frame | Nreads | Zeropoints | Mag plots
| Spatial mag deviation
| Spatial sky 16325A emission deviations (filled: sky, open: star)
| Spatial sky continuum emission
| Spatial sky telluric CO2 absorption deviations (filled: H < 10)
|
4270008
| 47
| | Red | Green | Blue
| z | | 18.29
| znorm | | 14.11
| sky | 14.4 | 14.0 | 13.7
| S/N | 9.6 | 16.6 | 14.9
| S/N(c) | 17.0 | 21.5 | 37.4
| SN(E/C) | 0.93
|
|
|
|
|
|
|
4270009
| 47
| | Red | Green | Blue
| z | | 18.16
| znorm | | 13.98
| sky | 14.4 | 14.2 | 14.0
| S/N | 8.5 | 14.8 | 13.9
| S/N(c) | 15.9 | 20.7 | 35.7
| SN(E/C) | 0.97
|
|
|
|
|
|
|
4270010
| 47
| | Red | Green | Blue
| z | | 18.35
| znorm | | 14.17
| sky | 14.5 | 14.3 | 14.0
| S/N | 9.8 | 16.5 | 15.4
| S/N(c) | 17.2 | 23.1 | 39.0
| SN(E/C) | 0.93
|
|
|
|
|
|
|
4270011
| 47
| | Red | Green | Blue
| z | | 18.05
| znorm | | 13.87
| sky | 14.7 | 14.4 | 14.1
| S/N | 8.0 | 13.8 | 13.3
| S/N(c) | 14.5 | 20.3 | 33.6
| SN(E/C) | 0.95
|
|
|
|
|
|
|
4270012
| 47
| | Red | Green | Blue
| z | | 18.05
| znorm | | 13.87
| sky | 14.6 | 14.4 | 14.3
| S/N | 7.6 | 13.6 | 13.2
| S/N(c) | 14.3 | 20.1 | 33.5
| SN(E/C) | 1.01
|
|
|
|
|
|
|
4270013
| 47
| | Red | Green | Blue
| z | | 18.31
| znorm | | 14.13
| sky | 14.6 | 14.6 | 14.2
| S/N | 9.2 | 16.6 | 15.5
| S/N(c) | 17.0 | 23.1 | 39.0
| SN(E/C) | 0.94
|
|
|
|
|
|
|
4270014
| 47
| | Red | Green | Blue
| z | | 18.30
| znorm | | 14.12
| sky | 14.6 | 14.5 | 14.1
| S/N | 9.5 | 16.7 | 15.4
| S/N(c) | 16.9 | 22.7 | 38.8
| SN(E/C) | 0.89
|
|
|
|
|
|
|
4270015
| 47
| | Red | Green | Blue
| z | | 17.74
| znorm | | 13.56
| sky | 14.7 | 14.6 | 14.4
| S/N | 5.8 | 11.4 | 11.0
| S/N(c) | 11.8 | 17.3 | 28.6
| SN(E/C) | 0.98
|
|
|
|
|
|
|