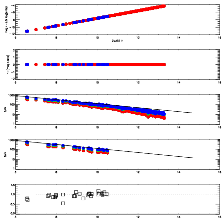
Left plots: red are targets, blue are telluric. Observed mags are calculated from median value of green chip. Zeropoint gives overall throughput: bigger number is more throughput.
First spatial plots: circles are objects, squares are tellurics, crosses are sky fibers. Colors give deviation of observed mag from expected 2MASS mag using the median zeropoint; red is brighter
Second spatial plots: circles are sky fibers. Colors give sky line brightness relative to plate median sky line brightness
FrameNreadsZeropointsMag plots Spatial mag deviation Spatial sky 16325A emission deviations (filled: sky, open: star) Spatial sky continuum emission Spatial sky telluric CO2 absorption deviations (filled: H < 10)
0 0
RedGreenBlue
z17.63
znorm Inf
sky -NaN -NaN -Inf
S/N 14.8 26.5 26.8
S/N(c) 0.0 0.0 0.0
SN(E/C) 0.98

IPAIRNAMESHIFTNEWSHIFTS/N NAMESHIFTNEWSHIFTS/N
0 04270010 0.487340 0.00000 18.3311 04270008 0.00000 0.487340 18.2744
1 04270013 0.483533 0.00380701 18.2875 04270011 -0.00385466 0.491195 18.0338
2 04270014 0.484467 0.00287300 18.2818 04270012 -0.00446182 0.491802 18.0299
3 04270009 0.486168 0.00117201 18.1421 04270015 -0.00499151 0.492332 17.7267