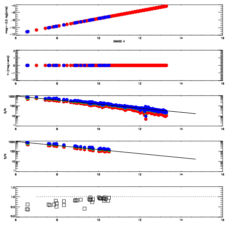
Left plots: red are targets, blue are telluric. Observed mags are calculated from median value of green chip. Zeropoint gives overall throughput: bigger number is more throughput.
First spatial plots: circles are objects, squares are tellurics, crosses are sky fibers. Colors give deviation of observed mag from expected 2MASS mag using the median zeropoint; red is brighter
Second spatial plots: circles are sky fibers. Colors give sky line brightness relative to plate median sky line brightness
FrameNreadsZeropointsMag plots Spatial mag deviation Spatial sky 16325A emission deviations (filled: sky, open: star) Spatial sky continuum emission Spatial sky telluric CO2 absorption deviations (filled: H < 10)
0 0
RedGreenBlue
z17.64
znorm Inf
sky -NaN -Inf -Inf
S/N 31.9 55.2 57.0
S/N(c) 0.0 0.0 0.0
SN(E/C) 0.83

IPAIRNAMESHIFTNEWSHIFTS/N NAMESHIFTNEWSHIFTS/N
0 06690094 0.480867 0.00000 18.9481 06690095 0.00113879 0.479728 18.9932
1 06690090 0.477809 0.00305799 18.9655 06690087 0.000743240 0.480124 19.0042
2 06690089 0.477609 0.00325799 18.9399 06690088 -0.000148894 0.481016 18.9602
3 06690086 0.479024 0.00184301 18.9340 06690091 0.00257190 0.478295 18.9301
4 06690085 0.477852 0.00301501 18.9117 06690092 0.000585360 0.480282 18.9007
5 06690093 0.479794 0.00107300 18.8643 06690084 0.00000 0.480867 18.8660