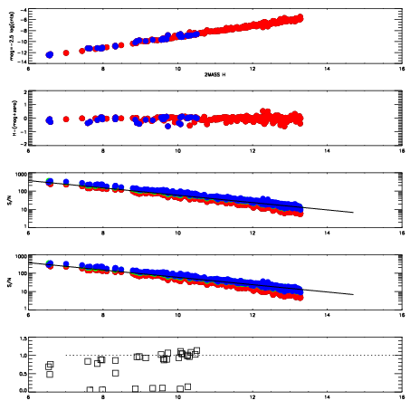
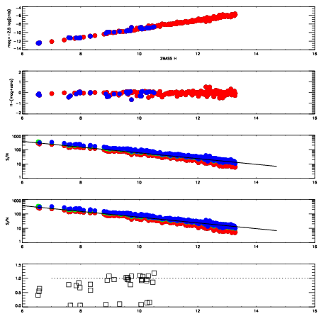
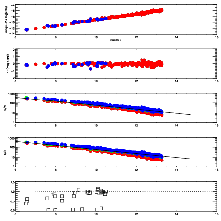
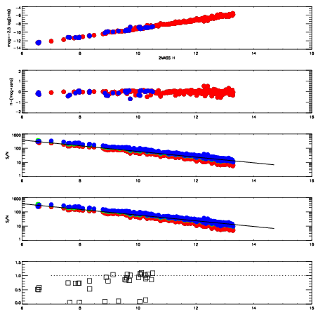
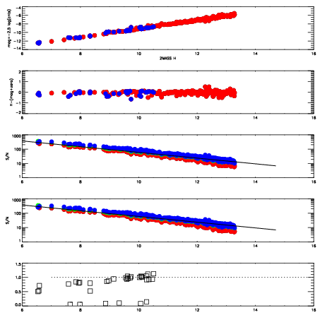
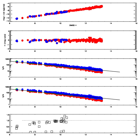
Left plots: red are targets, blue are telluric. Observed mags are calculated from median value of green chip. Zeropoint gives overall throughput: bigger number is more throughput.
First spatial plots: circles are objects, squares are tellurics, crosses are sky fibers. Colors give deviation of observed mag from expected 2MASS mag using the median zeropoint; red is brighter
Second spatial plots: circles are sky fibers. Colors give sky line brightness relative to plate median sky line brightness
FrameNreadsZeropointsMag plots Spatial mag deviation Spatial sky 16325A emission deviations (filled: sky, open: star) Spatial sky continuum emission Spatial sky telluric CO2 absorption deviations (filled: H < 10)
2930034 47
RedGreenBlue
z19.17
znorm14.99
sky 14.9 14.3 14.6
S/N 16.6 26.4 28.0
S/N(c) 5.0 6.5 22.0
SN(E/C) 0.89
2930035 47
RedGreenBlue
z19.19
znorm15.01
sky 14.6 14.4 14.7
S/N 16.5 26.7 28.2
S/N(c) 5.0 6.5 22.0
SN(E/C) 0.91
2930036 47
RedGreenBlue
z19.19
znorm15.01
sky 14.7 14.5 14.7
S/N 17.0 26.7 28.4
S/N(c) 5.0 6.6 22.1
SN(E/C) 0.85
2930037 47
RedGreenBlue
z19.22
znorm15.04
sky 14.7 14.6 14.7
S/N 16.9 27.1 28.9
S/N(c) 5.0 6.6 21.9
SN(E/C) 0.86
2930038 47
RedGreenBlue
z19.20
znorm15.02
sky 14.6 14.6 14.7
S/N 16.6 27.1 28.9
S/N(c) 5.0 6.7 22.0
SN(E/C) 0.86
2930039 47
RedGreenBlue
z19.21
znorm15.03
sky 14.6 14.5 14.5
S/N 16.7 27.4 29.1
S/N(c) 5.0 6.7 21.9
SN(E/C) 0.93