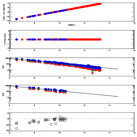
Left plots: red are targets, blue are telluric. Observed mags are calculated from median value of green chip. Zeropoint gives overall throughput: bigger number is more throughput.
First spatial plots: circles are objects, squares are tellurics, crosses are sky fibers. Colors give deviation of observed mag from expected 2MASS mag using the median zeropoint; red is brighter
Second spatial plots: circles are sky fibers. Colors give sky line brightness relative to plate median sky line brightness
FrameNreadsZeropointsMag plots Spatial mag deviation Spatial sky 16325A emission deviations (filled: sky, open: star) Spatial sky continuum emission Spatial sky telluric CO2 absorption deviations (filled: H < 10)
0 0
RedGreenBlue
z17.64
znorm Inf
sky -Inf -NaN -Inf
S/N 24.5 41.0 44.0
S/N(c) 0.0 0.0 0.0
SN(E/C) 0.88

IPAIRNAMESHIFTNEWSHIFTS/N NAMESHIFTNEWSHIFTS/N
0 04280016 0.491233 0.00000 18.8046 04280014 -0.00265125 0.493884 18.8434
1 04280012 0.489779 0.00145400 18.9033 04280022 -0.00265728 0.493890 18.9343
2 04280015 0.490611 0.000622004 18.8182 04280013 0.00358605 0.487647 18.8725
3 04280011 0.489612 0.00162098 18.8005 04280010 0.00000 0.491233 18.6784