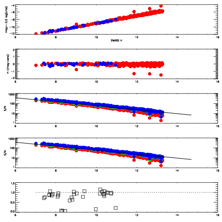
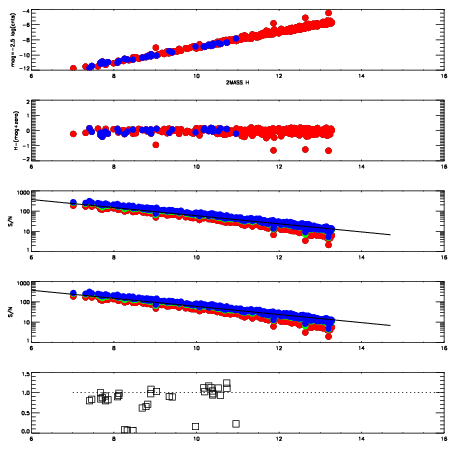
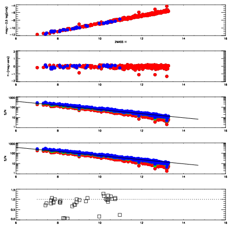
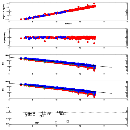
Frame | Nreads | Zeropoints | Mag plots
| Spatial mag deviation
| Spatial sky 16325A emission deviations (filled: sky, open: star)
| Spatial sky continuum emission
| Spatial sky telluric CO2 absorption deviations (filled: H < 10)
|
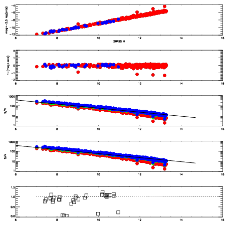
2920034
| 47
| | Red | Green | Blue
| z | | 18.86
| znorm | | 14.67
| sky | 14.8 | 14.4 | 14.4
| S/N | 13.3 | 21.5 | 22.3
| S/N(c) | 20.2 | 26.9 | 25.8
| SN(E/C) | 0.91
|
|
|
|
|
|
|
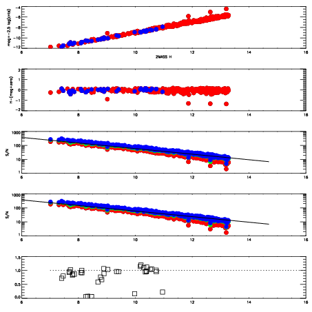
2920035
| 47
| | Red | Green | Blue
| z | | 18.89
| znorm | | 14.71
| sky | 14.8 | 14.4 | 14.6
| S/N | 13.7 | 21.8 | 23.0
| S/N(c) | 21.0 | 27.6 | 27.2
| SN(E/C) | 0.90
|
|
|
|
|
|
|
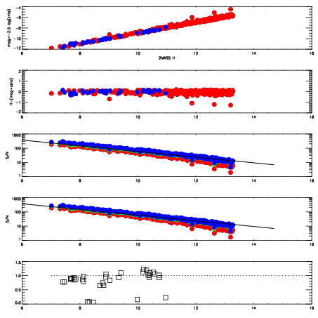
2920036
| 47
| | Red | Green | Blue
| z | | 18.99
| znorm | | 14.81
| sky | 14.6 | 14.4 | 14.7
| S/N | 14.6 | 23.1 | 25.2
| S/N(c) | 22.1 | 28.9 | 28.8
| SN(E/C) | 0.91
|
|
|
|
|
|
|
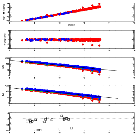
2920037
| 47
| | Red | Green | Blue
| z | | 19.00
| znorm | | 14.82
| sky | 14.7 | 14.5 | 14.6
| S/N | 14.6 | 23.6 | 25.0
| S/N(c) | 22.0 | 29.5 | 29.4
| SN(E/C) | 0.94
|
|
|
|
|
|
|
2920038
| 47
| | Red | Green | Blue
| z | | 18.95
| znorm | | 14.77
| sky | 14.5 | 14.5 | 14.5
| S/N | 14.5 | 23.1 | 24.6
| S/N(c) | 21.7 | 28.4 | 28.5
| SN(E/C) | 0.94
|
|
|
|
|
|
|
2920039
| 47
| | Red | Green | Blue
| z | | 18.95
| znorm | | 14.77
| sky | 14.5 | 14.6 | 14.5
| S/N | 14.1 | 22.9 | 24.5
| S/N(c) | 21.8 | 28.9 | 28.4
| SN(E/C) | 0.90
|
|
|
|
|
|
|
2920040
| 47
| | Red | Green | Blue
| z | | 18.97
| znorm | | 14.79
| sky | 14.8 | 14.6 | 14.6
| S/N | 14.2 | 23.4 | 24.7
| S/N(c) | 22.0 | 28.9 | 29.4
| SN(E/C) | 0.90
|
|
|
|
|
|
|
2920041
| 47
| | Red | Green | Blue
| z | | 19.05
| znorm | | 14.86
| sky | 14.7 | 14.7 | 14.5
| S/N | 15.0 | 24.1 | 26.2
| S/N(c) | 23.0 | 29.8 | 30.5
| SN(E/C) | 0.89
|
|
|
|
|
|
|