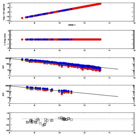
Left plots: red are targets, blue are telluric. Observed mags are calculated from median value of green chip. Zeropoint gives overall throughput: bigger number is more throughput.
First spatial plots: circles are objects, squares are tellurics, crosses are sky fibers. Colors give deviation of observed mag from expected 2MASS mag using the median zeropoint; red is brighter
Second spatial plots: circles are sky fibers. Colors give sky line brightness relative to plate median sky line brightness
FrameNreadsZeropointsMag plots Spatial mag deviation Spatial sky 16325A emission deviations (filled: sky, open: star) Spatial sky continuum emission Spatial sky telluric CO2 absorption deviations (filled: H < 10)
0 0
RedGreenBlue
z17.64
znorm Inf
sky -Inf -Inf -NaN
S/N 23.4 40.6 43.4
S/N(c) 0.0 0.0 0.0
SN(E/C) 0.87

IPAIRNAMESHIFTNEWSHIFTS/N NAMESHIFTNEWSHIFTS/N
0 03180031 0.503117 0.00000 18.9444 03180032 0.00107283 0.502044 18.9377
1 03180030 0.496518 0.00659904 18.8791 03180029 -0.000810500 0.503928 18.8897
2 03180027 0.498135 0.00498202 18.7454 03180028 -1.87972e-05 0.503136 18.8455
3 03180026 0.496413 0.00670403 18.7429 03180025 0.00000 0.503117 18.8085