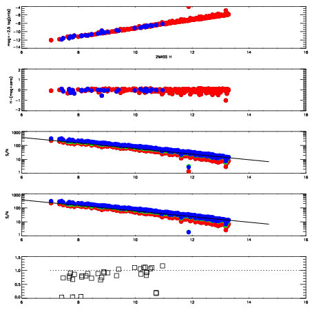
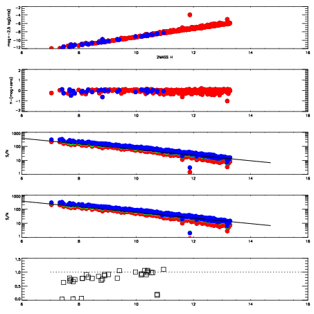
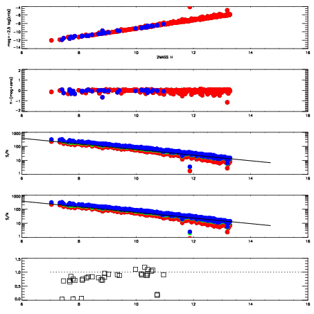
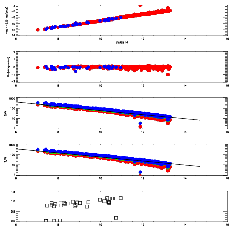
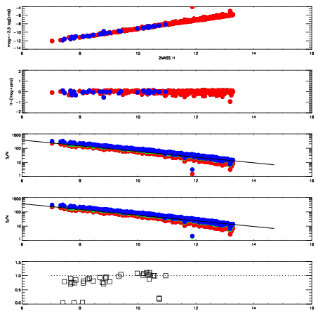
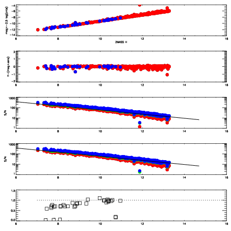
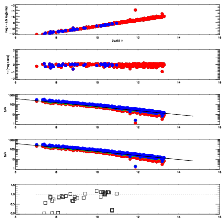
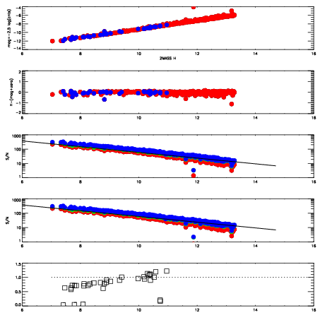
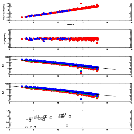
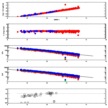
Frame | Nreads | Zeropoints | Mag plots
| Spatial mag deviation
| Spatial sky 16325A emission deviations (filled: sky, open: star)
| Spatial sky continuum emission
| Spatial sky telluric CO2 absorption deviations (filled: H < 10)
|
2910049
| 47
| | Red | Green | Blue
| z | | 19.19
| znorm | | 15.01
| sky | 14.8 | 14.5 | 14.4
| S/N | 16.5 | 25.9 | 27.8
| S/N(c) | 4.6 | 42.1 | 38.1
| SN(E/C) | 0.86
|
|
|
|
|
|
|
2910050
| 47
| | Red | Green | Blue
| z | | 19.23
| znorm | | 15.04
| sky | 14.7 | 14.4 | 14.6
| S/N | 16.7 | 26.6 | 28.6
| S/N(c) | 4.6 | 43.2 | 39.0
| SN(E/C) | 0.81
|
|
|
|
|
|
|
2910051
| 47
| | Red | Green | Blue
| z | | 19.23
| znorm | | 15.05
| sky | 14.5 | 14.4 | 14.5
| S/N | 16.8 | 27.1 | 28.8
| S/N(c) | 4.7 | 43.5 | 39.4
| SN(E/C) | 0.83
|
|
|
|
|
|
|
2910052
| 47
| | Red | Green | Blue
| z | | 19.26
| znorm | | 15.08
| sky | 14.6 | 14.4 | 14.6
| S/N | 17.2 | 27.8 | 29.8
| S/N(c) | 4.8 | 44.0 | 40.5
| SN(E/C) | 0.80
|
|
|
|
|
|
|
2910053
| 47
| | Red | Green | Blue
| z | | 19.26
| znorm | | 15.08
| sky | 14.7 | 14.7 | 14.6
| S/N | 17.1 | 27.8 | 29.6
| S/N(c) | 4.7 | 43.9 | 39.8
| SN(E/C) | 0.77
|
|
|
|
|
|
|
2910054
| 47
| | Red | Green | Blue
| z | | 19.20
| znorm | | 15.02
| sky | 14.7 | 14.5 | 14.5
| S/N | 16.6 | 26.6 | 28.4
| S/N(c) | 4.5 | 42.6 | 38.5
| SN(E/C) | 0.83
|
|
|
|
|
|
|
2910055
| 47
| | Red | Green | Blue
| z | | 19.14
| znorm | | 14.96
| sky | 14.5 | 14.5 | 14.6
| S/N | 16.3 | 26.3 | 28.0
| S/N(c) | 4.5 | 42.1 | 38.1
| SN(E/C) | 0.89
|
|
|
|
|
|
|
2910056
| 47
| | Red | Green | Blue
| z | | 19.17
| znorm | | 14.99
| sky | 14.8 | 14.6 | 14.6
| S/N | 16.6 | 26.8 | 28.3
| S/N(c) | 4.6 | 42.1 | 39.1
| SN(E/C) | 0.87
|
|
|
|
|
|
|
2910057
| 47
| | Red | Green | Blue
| z | | 19.15
| znorm | | 14.97
| sky | 14.4 | 14.3 | 14.4
| S/N | 16.5 | 26.5 | 28.0
| S/N(c) | 4.6 | 41.8 | 38.5
| SN(E/C) | 0.86
|
|
|
|
|
|
|
2910058
| 47
| | Red | Green | Blue
| z | | 19.21
| znorm | | 15.03
| sky | 14.6 | 14.5 | 14.4
| S/N | 17.0 | 27.2 | 28.5
| S/N(c) | 4.7 | 43.0 | 39.5
| SN(E/C) | 0.84
|
|
|
|
|
|
|