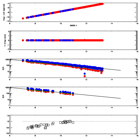
Left plots: red are targets, blue are telluric. Observed mags are calculated from median value of green chip. Zeropoint gives overall throughput: bigger number is more throughput.
First spatial plots: circles are objects, squares are tellurics, crosses are sky fibers. Colors give deviation of observed mag from expected 2MASS mag using the median zeropoint; red is brighter
Second spatial plots: circles are sky fibers. Colors give sky line brightness relative to plate median sky line brightness
FrameNreadsZeropointsMag plots Spatial mag deviation Spatial sky 16325A emission deviations (filled: sky, open: star) Spatial sky continuum emission Spatial sky telluric CO2 absorption deviations (filled: H < 10)
0 0
RedGreenBlue
z17.64
znorm Inf
sky -Inf -Inf -Inf
S/N 31.6 53.2 56.7
S/N(c) 0.0 0.0 0.0
SN(E/C) 0.73

IPAIRNAMESHIFTNEWSHIFTS/N NAMESHIFTNEWSHIFTS/N
0 02910055 0.401251 0.00000 19.1305 02910057 0.00105714 0.400194 19.1467
1 02910051 0.400257 0.000993997 19.2211 02910053 6.63400e-05 0.401185 19.2527
2 02910050 0.399251 0.00199997 19.2142 02910052 0.00269655 0.398554 19.2501
3 02910058 0.398701 0.00254998 19.1935 02910049 0.00000 0.401251 19.1820
4 02910054 0.400375 0.000875980 19.1873 02910056 0.00194667 0.399304 19.1544