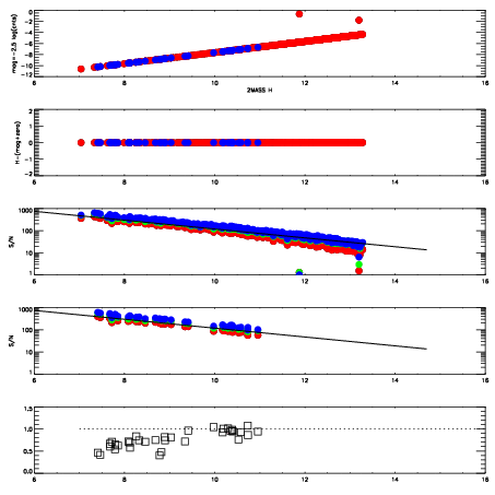
Left plots: red are targets, blue are telluric. Observed mags are calculated from median value of green chip. Zeropoint gives overall throughput: bigger number is more throughput.
First spatial plots: circles are objects, squares are tellurics, crosses are sky fibers. Colors give deviation of observed mag from expected 2MASS mag using the median zeropoint; red is brighter
Second spatial plots: circles are sky fibers. Colors give sky line brightness relative to plate median sky line brightness
FrameNreadsZeropointsMag plots Spatial mag deviation Spatial sky 16325A emission deviations (filled: sky, open: star) Spatial sky continuum emission Spatial sky telluric CO2 absorption deviations (filled: H < 10)
0 0
RedGreenBlue
z17.64
znorm Inf
sky -Inf -Inf -Inf
S/N 30.0 51.6 55.5
S/N(c) 0.0 0.0 0.0
SN(E/C) 0.75

IPAIRNAMESHIFTNEWSHIFTS/N NAMESHIFTNEWSHIFTS/N
0 03670050 0.501388 0.00000 19.1389 03670051 0.000752203 0.500636 19.1830
1 03670049 0.496850 0.00453800 19.1960 03670048 0.00000 0.501388 19.1882
2 03670054 0.500085 0.00130302 19.1595 03670052 0.000209303 0.501179 19.1834
3 03670053 0.496468 0.00492001 19.1347 03670055 0.000857097 0.500531 19.1455